高分子アミロイドβオリゴマー ELISAキットワコー Ver.2
High Molecular Amyloid β Oligomer ELISA Kit Wako Ver.2
- 免疫化学用
-
for Immunochemistry
- 製造元 :
- 富士フイルム和光純薬(株)
- 保存条件 :
- 冷蔵 (氷冷輸送)
- 適用法令 :
- 優先評価物質
- 構造式
- ラベル
- 荷姿
|
比較
|
製品コード
|
容量
|
価格
|
在庫 / 納期目安
|
|
|---|---|---|---|---|---|
|
|
|
96回用
|
|
|
ドキュメント
キットコンポーネント
96回用
| 抗体固相化プレート | 1プレート |
|---|---|
| 標準溶液(10 nM) | 100 μL |
| 緩衝液 | 60 mL |
| ビオチン結合抗体(BAN50)溶液 | 100 μL |
| ペルオキシダーゼ結合ストレプトアビジン溶液 | 100 μL |
| 発光試薬1 | 6 mL |
| 発光試薬2 | 6 mL |
| 洗浄液(10×) | 100 mL |
| 血漿血清用検体調製液 | 50 mL |
| プレートシール | 4 枚 |
概要
特長
- 血漿、血清、脳脊髄液検体で測定可能
- 9量体以上の高分子Aβオリゴマーを 特異的に定量
キット性能
-
検量線範囲※1 0.41~100 pM(ヒト脳脊髄液)
0.16~40 pM(ヒト血清・血漿(EDTA))反応する
Aβオリゴマー≧9mer Aβオリゴマー 測定対象検体 ヒト血清・血漿(EDTA)、ヒト脳脊髄液
in vitro Aβオリゴマー必要検体量 ヒト脳脊髄液:25μL(4倍希釈時)
ヒト血清・血漿(EDTA):50μL(2倍希釈時)測定時間 4時間30分 検出法 ※2 発光系 - 1:スタンダードとなる16量体MAPペプチド換算
- 2:測定には発光 プレートリーダーが必要です。
-

測定原理
抗Aβ抗体(BAN50)を捕捉抗体と検出抗体の両方に用いたサンドイッチELISA系は1-8量体にはほとんど反 応せず、9量体以上のAβオリゴマーを特異的に反応します。 標準品には抗Aβ抗体(BAN50)の抗体認識配列を16本持つ16量体MAPペプチドを使用しています。

高分子Aβオリゴマーへの特異性データ
Aβ1-42ペプチドを冷蔵で一晩インキュベーションした後、限外ろ過で30 kDa未満(8量体以下)と30 kDa以上 (9量体以上)に分離して、それぞれの画分で抗Aβ抗体(BAN50)によるウエスタンブロットと本ELISAを行った。

-
ウエスタンブロット(抗 Aβ抗体(BAN50)

-
AβオリゴマーELISA

8量体以下(< 30kDa)のFraction Bではほとんどシグナルが見られず、9量体以上(≧ 30kDa)の Fraction Aでは強いシグナルを示した。
測定例
測定例1:添加回収および希釈直線性試験
| ヒト血漿検体 | 未添加 | +0.5 pM 標準溶液 | +1 pM標準溶液 | +5 pM標準溶液 | +30 pM標準溶液 | ||||
|---|---|---|---|---|---|---|---|---|---|
| 測定値 | 測定値 | Recovery | 測定値 | Recovery | 測定値 | Recovery | 測定値 | Recovery | |
| 1.85 pM | 2.36 pM | 102 % | 2.85 pM | 100 % | 7.11 pM | 105 % | 31.2 pM | 97.80 % | |
| ヒト血清検体 | 未添加 | +0.5 pM 標準溶液 | +1 pM標準溶液 | +5 pM標準溶液 | +30 pM標準溶液 | ||||
| 測定値 | 測定値 | Recovery | 測定値 | Recovery | 測定値 | Recovery | 測定値 | Recovery | |
| 1.58 pM | 2.07 pM | 98 % | 2.59 pM | 101 % | 6.64 pM | 101 % | 31.9 pM | 101 % | |
| ヒト脳脊髄液① | 未添加 | +3 pM 標準溶液 | +6 pM標準溶液 | +15 pM 標準溶液 | |||
|---|---|---|---|---|---|---|---|
| 測定値 | 測定値 | Recovery | 測定値 | Recovery | 測定値 | Recovery | |
| 5.16 pM | 8.01 pM | 95 % | 10.6 pM | 91 % | 18.1 pM | 86 % | |
| ヒト脳脊髄液② | 未添加 | +10 pM 標準溶液 | +15 pM 標準溶液 | +35 pM 標準溶液 | |||
| 測定値 | 測定値 | Recovery | 測定値 | Recovery | 測定値 | Recovery | |
| 29.1 pM | 38.8 pM | 97 % | 44.0 pM | 99.30 % | 59.9 pM | 88 % | |

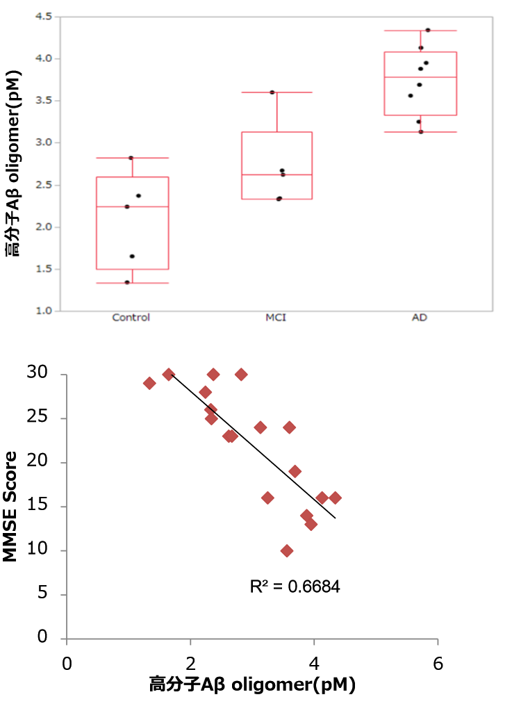
測定例2:臨床検体(脳脊髄液)での測定
非認知症者(Control)、軽度認知障害患者(MCI)、アルツハイマー病患者(AD)の脳脊髄液を本ELISA で測定した。
-
年齢 性別 MMSE※3 脳脊髄液
Aβオリゴマー(pM)Control
n=569 M 30 2.37 60 F 30 1.65 59 M 30 2.82 46 M 28 2.24 60 F 29 1.34 MCI
n=569 F 24 3.6 76 M 23 2.62 82 M 26 2.33 69 F 23 2.67 73 F 25 2.34 AD
n=879 F 10 3.56 88 M 24 3.13 62 M 16 4.13 78 M 13 3.95 63 M 14 3.88 74 F 16 3.25 76 M 19 3.69 84 M 16 4.34 - 3:MMSE score:認知機能診断問診検査のスコア
30-28点 …正常
27-24点…軽度認知障害の疑いあり
23点以下…認知症の疑いが強い
- 3:MMSE score:認知機能診断問診検査のスコア
-

- 非認知症患者(control)、軽度認知障害患者 (MCI)、アルツハイマー病患者(AD)間で測定値 に有意差が見られた。
- 高分子Aβオリゴマーの測定値はMMSE Score と相関がみられた。
FAQ
測定検体について
- 血漿、血清で測定できますか?
- 測定可能です。
必要な器具、装置
- 本製品で測定する際に必要な器具、装置は?
- 精製水(蒸留水)
- 標準溶液/検体希釈用チューブ
- 洗浄液希釈用ガラス器具(メスシリンダー・ビーカー)
- チップ交換型ピペット(使い捨てチップで10μLを正確にピペッティングできるもの、および100~500 μLを正確にピペッティングできるもの)
- 連続分注ピペット、50 μL 、100 μLを連続分注できるもの
- ペーパータオル等の吸水性のあるもの(洗浄後にプレートに残った液を取り除く)
- 撹拌器(Vortex タイプ)
- マイクロプレート振とう器(約600~800 rpm)
- 96ウエルプレート用洗浄機(あれば好ましい)または洗浄瓶
- 96ウエルプレートリーダー(発光測定用)
- データ処理ソフトウェア
キット使用抗体の販売
- 本製品の抗体を単品販売していますか?
- しています。下記製品コード品を参照ください。
ただしキットでは捕捉抗体は下記製品コードのものですが、検出用抗体は下記製品のビオチン標識抗体を使用しています。ビオチン標識抗体は市販していません。
製品コード:013-26873
製品名:抗ヒトアミロイドβ, モノクローナル抗体(BAN50)
キットの形態
- キットの分割使用は可能ですか?
- 可能です。
プレートは8ウェルずつ切り離せるようになっており、スタンダードも十分な量が入っています。ただし分割使用する場合、検量線はその都度引く必要があるので測定可能な検体数が減ります。
■ 1回で使用の場合
40検体(80ウェル)
※スタンダードで16ウェル使用
■ 2回で使用の場合
32検体(64ウェル)
※スタンダードで32ウェル使用
物性情報
「物性情報」は参考情報でございます。規格値を除き、この製品の性能を保証するものではございません。
本製品の品質及び性能については、本品の製品規格書をご確認ください。
なお目的のご研究に対しましては、予備検討を行う事をお勧めします。
製造元情報
別名一覧
- AβオリゴマーELISAキット
- 掲載内容は本記事掲載時点の情報です。仕様変更などにより製品内容と実際のイメージが異なる場合があります。
- 製品規格・包装規格の改訂が行われた場合、画像と実際の製品の仕様が異なる場合があります。
- 掲載されている製品について
- 【試薬】
- 試験・研究の目的のみに使用されるものであり、「医薬品」、「食品」、「家庭用品」などとしては使用できません。
- 試験研究用以外にご使用された場合、いかなる保証も致しかねます。試験研究用以外の用途や原料にご使用希望の場合、弊社営業部門にお問合せください。
- 【医薬品原料】
- 製造専用医薬品及び医薬品添加物などを医薬品等の製造原料として製造業者向けに販売しています。製造専用医薬品(製品名に製造専用の表示があるもの)のご購入には、確認書が必要です。
- 表示している希望納入価格は「本体価格のみ」で消費税等は含まれておりません。
- 表示している希望納入価格は本記事掲載時点の価格です。
Share