アミロイドβ (Aβ) ELISAキット
アミロイドβ (Aβ) はアルツハイマー病の病理学的特徴である⽼⼈斑の主要な構成要素です。アルツハイマー病ではAβの蓄積が起点となり、神経原線維変化や神経変性を経て認知機能障害が⽣じる「アミロイドカスケード仮説」が提唱されています。Aβはアルツハイマー病発症の20年以上前から徐々に蓄積することが報告されており、Aβ蓄積を早期に検出することがアルツハイマー病の予防や治療につながると考えられています。また可溶性のアミロイドβのオリゴマー (Aβオリゴマー) に神経毒性があることが報告されてから、Aβオリゴマーがアルツハイマー病における神経細胞死に関与しているのではないかという「Aβオリゴマー仮説」も提唱されるようになりました。
当社では武⽥薬品⼯業で開発された特異性の⾼いモノクローナル抗体を使⽤したELISAキットを販売しています。本シリーズは組織抽出液、細胞培養上清、脳脊髄液だけでなく、従来測定が困難であった⾎漿中のAβ40やAβ42も測定可能であり、多くの論⽂で使用された実績があります。またヒトの⾎清、⾎漿、脳脊髄液中の9量体以上のAβオリゴマーを特異的に測定可能なELISAキットも開発しました。
アミロイドβ (Aβ) とは?
アミロイドβ (Aβ) は40アミノ酸前後のペプチドで、アルツハイマー病の病理学的特徴である⽼⼈斑の主要な構成要素です。アミロイドカスケード仮説では、Aβの蓄積が起点となり、神経原線維変化や神経変性を経て認知機能障害が⽣じると考えられています。Aβはアルツハイマー病発症の20年以上前から徐々に蓄積することが報告されており1)、Aβ蓄積を早期に検出することがアルツハイマー病の予防や治療につながると期待されています。
Aβはアミノ酸の⻑さによっていくつかの分⼦種に分けられ、神経細胞では主にAβ40やAβ42が分泌されています。特にAβ42は凝集性や毒性が⾼く、疾患の発症や進⾏とより密接に関わっていると考えられています。またアルツハイマー病患者では健常者と⽐較して、脳脊髄液 (CSF) 中のAβ42が減少しており2)、Aβ42もしくはAβ42/Aβ40⽐がアルツハイマー病の早期バイオマーカーとして利⽤されています。⾎漿Aβ42/Aβ40⽐も脳内Aβ蓄積と相関するため3)、CSFより検体採取が容易なバイオマーカーとして期待されていますが、精度に課題があり、今後の研究が待たれます。
また可溶性のアミロイドβのオリゴマー (Aβオリゴマー) に神経毒性があることが報告されてから、Aβオリゴマーがアルツハイマー病における神経細胞死に関与しているのではないかという「Aβオリゴマー仮説」が提唱されるようになりました4)。細胞毒性を発揮するオリゴマーの分⼦量などは未だ議論の最中ですが、アルツハイマー病治療薬のターゲットとして有望であると考えられています。また脳脊髄液中のAβオリゴマーも、Aβ42と同様にアルツハイマー病の診断や重症度の判定に有⽤なバイオマーカーであると期待されています5)。
Aβ ELISAキット
当社のAβ ELISAキットは武⽥薬品⼯業で開発された特異性の⾼いモノクローナル抗体を使⽤しています。組織抽出液、細胞培養上清、脳脊髄液だけでなく、従来測定が困難であった⾎漿中のAβ40やAβ42も測定可能であり、多くの論⽂で使用された実績があります。
製品ラインアップ
① ヒト Aβ(1-40)
② ヒト/マウス/ラット Aβ(40)
③ ヒト Aβ(1-42)
④ ヒト/マウス/ラット Aβ(42)
| コードNo. | 製品名 | 抗体クローンNo. | ヒト | マウス/ラット | 測定対象検体 | 検量線範囲 (pmol/L) |
|||||||
|---|---|---|---|---|---|---|---|---|---|---|---|---|---|
| 捕捉 | 検出 | Aβ (1-40) |
Aβ (1-42) |
Aβ (x-40) |
Aβ (x-42) |
Aβ (1-40) |
Aβ (1-42) |
Aβ (x-40) |
Aβ (x-42) |
||||
| 292-62301 | ヒトβアミロイド(1-40) ELISAキットワコー ※販売終了 (代替品: 298-64601) |
BAN50 | BA27 (Fab’) |
〇 | × | × | × | × | × | × | × | 脳脊髄液/脳組織抽出液/血清/血漿/細胞培養上清 | 1.0-100 |
| 298-64601 | ヒトβアミロイド(1-40) ELISAキットワコーⅡ |
BAN50 | BA27 (F(ab’)2) |
〇 | × | × | × | × | × | × | × | 脳脊髄液/脳組織抽出液/血清/血漿/細胞培養上清 | 1.0-100 |
| 294-62501 | ヒト/ラットβアミロイド(40) ELISAキットワコー ※販売終了 (代替品: 294-64701) |
BNT77 | BA27 (Fab’) |
〇 | × | 〇 | × | 〇 | × | 〇 | × | 脳脊髄液/脳組織抽出液/血清/血漿/細胞培養上清 | 1.0-100 |
| 294-64701 | ヒト/ラットβアミロイド(40) ELISAキットワコーⅡ |
BNT77 | BA27 (F(ab’)2) |
〇 | × | 〇 | × | 〇 | × | 〇 | × | 脳脊髄液/脳組織抽出液/血清/血漿/細胞培養上清 | 1.0-100 |
| 298-62401 | ヒトβアミロイド(1-42) ELISAキットワコー |
BAN50 | BC05 (Fab’) |
× | 〇 | × | × | × | × | × | × | 脳脊髄液/脳組織抽出液/血清※/血漿/細胞培養上清 | 1.0-100 |
| 296-64401 | ヒトβアミロイド(1-42) ELISAキットワコー、高感度品 |
BAN50 | BC05 (Fab’) |
× | 〇 | × | × | × | × | × | × | 脳脊髄液/脳組織抽出液/血清※/血漿/細胞培養上清 | 0.1-20 |
| 290-62601 | ヒト/ラットβアミロイド(42) ELISAキットワコー |
BNT77 | BC05 (Fab’) |
× | 〇 | × | 〇 | × | 〇 | × | 〇 | 脳脊髄液/脳組織抽出液/血清※/血漿/細胞培養上清 | 1.0-100 |
| 292-64501 | ヒト/ラットβアミロイド(42) ELISAキットワコー、高感度品 |
BNT77 | BC05 (Fab’) |
× | 〇 | × | 〇 | × | 〇 | × | 〇 | 脳脊髄液/脳組織抽出液/血清※/血漿/細胞培養上清 | 0.1-20 |
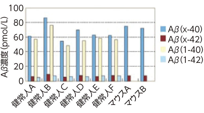
データ
ヒトおよびマウス⾎漿での測定
EDTA・2K真空採⾎管を⽤いて採⾎した⾎液から5,000 x g、4°C、15分間の遠⼼により⾎漿を分離し、使⽤時まで-80°Cで保存した。その後、検体をキット添付のスタンダード希釈液で4倍希釈して、Aβを測定した。
<使用キット>
Aβ (x-40) : ヒト/ラットβアミロイド (40) ELISAキットワコーⅡ (コードNo. 294-64701)
Aβ (x-42) : ヒト/ラットβアミロイド (42) ELISAキットワコー、⾼感度品 (コードNo. 292-64501)
Aβ (1-40) : ヒトβアミロイド (1-40) ELISAキットワコーⅡ (コードNo. 298-64601)
Aβ (1-42) : ヒトβアミロイド (1-42) ELISAキットワコー、⾼感度品 (コードNo. 296-64401)

高分子アミロイドβオリゴマー ELISAキット Ver.2
当社の⾼分⼦アミロイドβオリゴマー ELISAキットワコーVer.2は、ヒトの⾎清、⾎漿、脳脊髄液中のAβオリゴマーを測定可能なELISAキットです。Aβに対して⾼い親和性を持つ抗体 (クローンNo. BAN50) を⽤いることで、9量体以上のAβオリゴマーを特異的に測定することが可能です5-6)。
キット性能
| 測定対象 | Aβオリゴマー (≧9mer) |
|---|---|
| 検量線範囲 (16量体MAPペプチド換算) |
0.41-100 pM (ヒト脳脊髄液) 0.16-40 pM (ヒト血清/血漿(EDTA)) |
| 測定対象検体 | ヒト 脳脊髄液 / 血清 / 血漿 (EDTA) in vitro Aβオリゴマー |
| 必要検体量 | ヒト脳脊髄液: 25 μL (4倍希釈) ヒト血清・血漿 (EDTA): 50 μL (2倍希釈) |
| 測定時間 | 約4時間30分 |
| 検出法 | 発光系 (発光測定用プレートリーダーが必要) |
測定原理
抗Aβ抗体 (BAN50) を捕捉抗体と検出抗体の両⽅に⽤いたサンドイッチELISA系は、1-8量体にはほとんど反応せず、9量体以上のAβオリゴマーに対し特異的に反応します5-6)。標準品には、抗Aβ抗体 (BAN50) の抗体認識配列を16本持つ16量体MAP ペプチドを使⽤しています6)。
データ
⾼分⼦Aβオリゴマーへの特異性
Aβ1-42ペプチド (モノマー) を冷蔵で⼀晩インキュベーションした後、限外ろ過で30 kDa 以上 (9 量体以上、Fraction A) と30 kDa未満 (8量体以下、Fraction B) に分離して、それぞれの画分で抗Aβ抗体 (BAN50) によるウエスタンブロッティングとELISAを⾏った。
[結果]
ウエスタンブロッティングによりAβオリゴマーが分⼦量で分離できた。またELISA では8量体以下のFraction Bはほとんどシグナルが⾒られず、9量体以上のFraction Aは強いシグナルを⽰した。

臨床検体での測定
⾮認知症患者 (Control)、軽度認知障害患者 (MCI)、アルツハイマー病患者 (AD) の脳脊髄液について、⾼分⼦Aβオリゴマーを測定し、MMSE Scoreとの相関を調べた。
MMSE Score
23点以下 : 認知症の疑い
24-27点 : 軽度認知障害の疑い
28-30点 : 正常
[結果]
Control、MCI、AD間で⾼分⼦Aβオリゴマーの測定値に有意差が⾒られた。また測定値はMMSE Scoreと負の相関がみられた。

参考文献
参考文献
- Bateman, R. J. et al.: N. Engl. J. Med., 367(9) , 795(2012).
Clinical and biomarker changes in dominantly inherited Alzheimer's disease - Shaw, L. M. et al.: Ann. Neurol, 65(4) , 403(2009).
Cerebrospinal fluid biomarker signature in Alzheimer's disease neuroimaging initiative subjects - Brand, A. L. et al.: Alzheimers Res. Ther., 14(1) , 195(2022).
The performance of plasma amyloid beta measurements in identifying amyloid plaques in Alzheimer's disease: a literature review - Selkoe, D. J.: Science, 298 (5594) , 789(2002).
Alzheimer's disease is a synaptic failure - Fukumoto, H. et al.: FASEB J., 24 (8) , 2716 (2010).
High-molecular-weight beta-amyloid oligomers are elevated in cerebrospinal fluid of Alzheimer patients - Kasai, T. et al.: Biochem. Biophys. Res. Commun., 422 (3) , 375 (2012).
Utilization of a multiple antigenic peptide as a calibration standard in the BAN50 single antibody sandwich ELISA for Aβ oligomers
使用文献
当社キットを使用した文献はこちら
製品一覧
- 項目をすべて開く
- 項目をすべて閉じる
アミロイドβ (Aβ) ELISAキット
アミロイドβ (Aβ) ELISAキット (高分子オリゴマー)
- 掲載内容は本記事掲載時点の情報です。仕様変更などにより製品内容と実際のイメージが異なる場合があります。
- 掲載されている製品について
- 【試薬】
- 試験・研究の目的のみに使用されるものであり、「医薬品」、「食品」、「家庭用品」などとしては使用できません。
- 試験研究用以外にご使用された場合、いかなる保証も致しかねます。試験研究用以外の用途や原料にご使用希望の場合、弊社営業部門にお問合せください。
- 【医薬品原料】
- 製造専用医薬品及び医薬品添加物などを医薬品等の製造原料として製造業者向けに販売しています。製造専用医薬品(製品名に製造専用の表示があるもの)のご購入には、確認書が必要です。
- 表示している希望納入価格は「本体価格のみ」で消費税等は含まれておりません。
- 表示している希望納入価格は本記事掲載時点の価格です。
