組織用鉄イオン測定キット(Iron Assay Kit -Colorimetric-)

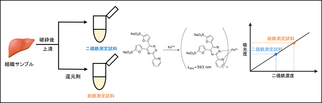
鉄は生体内において最も重要な金属元素の一つです。近年、鉄依存性の細胞死、フェロトーシスの概念が提唱され、細胞内鉄イオンの代謝過程の研究が注目を集めております。「組織用鉄イオン測定キット(Iron Assay Kit -Colorimetric-)」は、操作が簡単な比色法による鉄イオン検出キットです。他の市販の検出キットと比べ、より短い時間で迅速な検出が可能です。組織溶解液に鉄イオンプローブFerene Sを入れ、その吸光度と三価鉄を二価鉄に還元した標準品の吸光度を比較することで、組織試料中の二価鉄の含有量を測定できます。さらに、還元剤を用いてサンプル中の鉄イオンをすべて二価鉄に還元し、総鉄濃度を測定することで、サンプル中の三価鉄の含有量も算出可能です。
概要
鉄は生体内において最も重要な金属元素の一つです。近年、鉄依存性の細胞死、フェロトーシスの概念が提唱され、細胞内鉄イオンの代謝過程の研究が注目を集めております。「Iron Assay Kit-Colorimetric」は、操作が簡単な比色法による鉄イオン検出キットです。他の市販の検出キットと比べ、より短い時間で迅速な検出が可能です。組織溶解液に鉄イオンプローブFerene Sを入れ、その吸光度と三価鉄を二価鉄に還元した標準品の吸光度を比較することで、組織試料中の二価鉄の含有量を測定できます。さらに、還元剤を用いてサンプル中の鉄イオンをすべて二価鉄に還元し、総鉄濃度を測定することで、サンプル中の三価鉄の含有量も算出可能です。

特長
- 組織サンプルの鉄を検出
- 二価鉄および三価鉄の含有量を定量するための標準品を同梱
- 鉄量の算出に便利な計算シートを準備
フェロトーシスに関する学術記事を公開中!
鉄検出試薬比較表
| メーカーコード | I291 | F374 | M489 | L270 |
|---|---|---|---|---|
| 製品名 | 本製品 Iron Assay Kit -Colormetric- |
FerroOrange | Mito-FerroGreen | Lsyo-FerroRed |
| 対応装置 | プレートリーダー | 蛍光顕微鏡、プレートリーダー、 フローサイトメーター |
蛍光顕微鏡、 フローサイトメーター |
蛍光顕微鏡、プレートリーダー、 フローサイトメーター |
| 検出 | 吸光 | 蛍光 | 蛍光 | 蛍光 |
| 測定対象 | 組織内二価/三価鉄 | 細胞内二価鉄 | 細胞内ミトコンドリア二価鉄 | 細胞内リソソーム二価鉄 |
鉄イオン選択性

データ例
組織サンプル中の二価鉄および三価鉄の検出
本キットを用いてマウス由来肝臓中の二価鉄と三価鉄量を測定しました。マウス肝臓100 mg中に二価鉄2.51 nmol、三価鉄3.05 nmol併せて総鉄量5.56 nmol含有されていることが確認できました。

参考文献
FAQ
同仁化学研究所メーカーホームページよりご覧いただけます。
製品一覧
- 項目をすべて開く
- 項目をすべて閉じる
組織用細胞内鉄イオン測定キット
- 掲載内容は本記事掲載時点の情報です。仕様変更などにより製品内容と実際のイメージが異なる場合があります。
- 掲載されている製品について
- 【試薬】
- 試験・研究の目的のみに使用されるものであり、「医薬品」、「食品」、「家庭用品」などとしては使用できません。
- 試験研究用以外にご使用された場合、いかなる保証も致しかねます。試験研究用以外の用途や原料にご使用希望の場合、弊社営業部門にお問合せください。
- 【医薬品原料】
- 製造専用医薬品及び医薬品添加物などを医薬品等の製造原料として製造業者向けに販売しています。製造専用医薬品(製品名に製造専用の表示があるもの)のご購入には、確認書が必要です。
- 表示している希望納入価格は「本体価格のみ」で消費税等は含まれておりません。
- 表示している希望納入価格は本記事掲載時点の価格です。

