ラボアッセイ (TM) グルコース
LabAssay (TM) Glucose
- 細胞生物学用
-
for Cellbiology
- 製造元 :
- 富士フイルム和光純薬(株)
- 保存条件 :
- 冷蔵 (氷冷輸送)
- 適用法令 :
- 優先評価物質
- GHS :
-
- 構造式
- ラベル
- 荷姿
|
比較
|
製品コード
|
容量
|
価格
|
在庫 / 納期目安
|
|
|---|---|---|---|---|---|
|
|
|
500回用
|
|
|
ドキュメント
キットコンポーネント
500回用
| 緩衝液 | 150 mL/1本 |
|---|---|
| 発色剤 | 150 mL用/1本 |
| 標準液Ⅰ | 3 mL/1本 |
| 標準液Ⅱ | 3 mL/1本 |
概要
グルコースは生体の重要なエネルギー源となる物質であることが知られています。 溶液中において、グルコースはα型およびβ型グルコースの2種類の異性体が一定の割合を保ち、平衡状態で存在しています (鎖状グルコースもあるが極微量)。本製品はα-D-グルコースをβ型に転移させるムタロターゼと、β-D-グルコースに作用するグルコースオキシダーゼを組み合わせた酵素法試薬です。
キット性能
| 測定対象検体※ | ヒト 血清/血漿 マウス 血清/血漿 ラット 血清/血漿 イヌ 血清/血漿 ネコ 血清/血漿 |
|---|---|
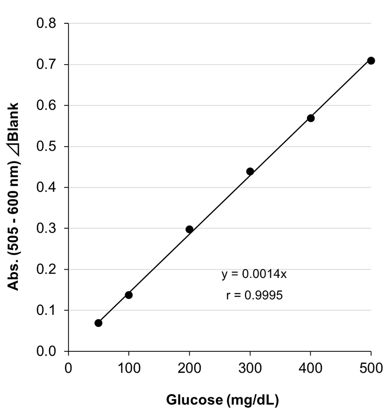
| 検量線範囲 | 50-500 mg/dL |
| 検体量 | 2 μL |
| 測定時間 | 約10分 |
| 測定波長 | 505 nm (副波長 600 nm) |
検量線例

測定原理
検体に発色試薬を作用させると検体中のα型グルコースはムタロターゼの作用によりβ型へ速やかに変換されます。β-D-グルコースはグルコースオキシダーゼ (GOD) の作用を受けて酸化されると同時に過酸化水素を生成します。生成した過酸化水素は、共存するペルオキシダーゼ (POD) の作用により発色試薬中のフェノールと4-アミノアンチピリンとを定量的に酸化縮合させ、赤色の色素を生成させます。この赤色色素を測定することにより検体中のグルコース濃度を求めます。

ムタロターゼ・GOD法を用いたグルコースの測定原理
測定操作法
マイクロプレート法
下記に従って、ウェル内で反応させてください。
| テスト | スタンダード | ブランク | |
|---|---|---|---|
| 発色試薬 | 300 μL | 300 μL | 300 μL |
| 試料 | 検体 2 μL | 標準液 2 μL | -※1 |
| よく混合し、37℃で5分間加温。ブランクを対照として505 nm※2 における検体および標準液の吸光度を測定する。 | |||
- 1 水2 μL 添加の有無による吸光度の差は実際上ありませんので水の添加は省略しています。
- 2 2波長測定の場合、主波長505 nm / 副波長600 nm。
データ
同時再現性試験
本製品で各2濃度のヒト、マウス、ラットの血清について6重測定を実施し、精度を確認した。
| n\ID | ヒト血清 | マウス血清 | ラット血清 | |||
|---|---|---|---|---|---|---|
| ID1 (mg/dL) | ID2 (mg/dL) | ID1 (mg/dL) | ID2 (mg/dL) | ID1 (mg/dL) | ID2 (mg/dL) | |
| 1 | 320 | 171 | 372 | 108 | 424 | 117 |
| 2 | 334 | 164 | 353 | 104 | 422 | 115 |
| 3 | 326 | 167 | 379 | 109 | 415 | 119 |
| 4 | 329 | 167 | 369 | 110 | 406 | 112 |
| 5 | 328 | 162 | 359 | 105 | 413 | 111 |
| 6 | 338 | 171 | 351 | 107 | 415 | 114 |
| mean | 329 | 167 | 364 | 107 | 416 | 115 |
| SD | 6.27 | 3.63 | 11.21 | 2.32 | 6.49 | 3.01 |
| CV(%) | 1.9 | 2.2 | 3.1 | 2.2 | 1.6 | 2.6 |
[結果]
ヒト血清のCV(%)は、1.9-2.2%、マウス血清は、2.2-3.1%、ラット血清は、1.6%-2.6%と良好であった。
日差再現性試験
本製品で各3濃度のヒト、マウス、ラットの血清について、4日間測定を実施し、精度を確認した。
| Day\ID | ヒト血清 | マウス血清 | ラット血清 | ||||||
|---|---|---|---|---|---|---|---|---|---|
| ID3 (mg/dL) | ID4 (mg/dL) | ID5 (mg/dL) | ID3 (mg/dL) | ID4 (mg/dL) | ID5 (mg/dL) | ID3 (mg/dL) | ID4 (mg/dL) | ID5 (mg/dL) | |
| 1 | 361 | 172 | 88.3 | 364 | 180 | 99.1 | 410 | 198 | 104 |
| 2 | 385 | 181 | 90.4 | 376 | 190 | 101 | 414 | 209 | 105 |
| 3 | 364 | 178 | 89 | 386 | 189 | 104 | 419 | 203 | 105 |
| 4 | 389 | 183 | 92.4 | 392 | 196 | 106 | 430 | 212 | 108 |
| mean | 375 | 179 | 90 | 380 | 189 | 103 | 418 | 206 | 106 |
| SD | 14.3 | 4.80 | 1.81 | 12.3 | 6.6 | 3.07 | 8.7 | 6.24 | 1.73 |
| CV(%) | 3.8 | 2.7 | 2.0 | 3.2 | 3.5 | 3.0 | 2.1 | 3.0 | 1.6 |
[結果]
ヒト血清のCV(%)は、2.0-3.8%、マウス血清は、3.0-3.5%、ラット血清は、1.6%-3.0%と良好であった。
希釈直線性試験
生理食塩水を用いて、ヒト、マウス、ラットの検体を倍々希釈後、2重測定を実施し、直線性を確認した。



[結果]
いずれも測定範囲内で良好な直線性を示した。
添加回収試験
ヒト、マウス、ラットの血清/血漿 (EDTA、ヘパリン) に4濃度のスタンダードを添加し、2重測定を実施した。
ヒト検体
| 添加量 (mg/dL) |
測定値 (mg/dL) |
回収量 (mg/dL) |
回収率 (%) |
|
|---|---|---|---|---|
| 血清 | - | 104 | - | - |
| 109 | 205 | 101 | 92.7 | |
| 163 | 246 | 143 | 87.7 | |
| 218 | 308 | 204 | 93.6 | |
| 272 | 363 | 259 | 95.2 | |
| 平均 | 92.3 | |||
| 血漿 (EDTA) |
- | 100 | - | - |
| 114 | 201 | 101 | 88.6 | |
| 171 | 249 | 149 | 87.1 | |
| 228 | 306 | 206 | 90.4 | |
| 285 | 357 | 257 | 90.2 | |
| 平均 | 89.1 | |||
| 血漿 (ヘパリン) |
- | 103 | - | |
| 112 | 219 | 116 | 104 | |
| 168 | 262 | 159 | 94.6 | |
| 224 | 308 | 205 | 91.5 | |
| 280 | 369 | 266 | 95.0 | |
| 平均 | 96.2 | |||
マウス検体
| 添加量 (mg/dL) |
測定値 (mg/dL) |
回収量 (mg/dL) |
回収率 (%) |
|
|---|---|---|---|---|
| 血清 | - | 98.1 | - | - |
| 89.2 | 177 | 78.9 | 98.3 | |
| 134 | 201 | 103 | 90.6 | |
| 178 | 251 | 153 | 88.8 | |
| 223 | 280 | 182 | 93.8 | |
| 平均 | 92.9 | |||
| 血漿 (EDTA) |
- | 93 | - | - |
| 90.8 | 174 | 81.0 | 95.9 | |
| 136 | 203 | 110 | 97.5 | |
| 182 | 248 | 155 | 98.0 | |
| 227 | 276 | 183 | 97.4 | |
| 平均 | 97.2 | |||
| 血漿 (ヘパリン) |
- | 111 | - | |
| 91.2 | 187 | 76.0 | 83.3 | |
| 137 | 227 | 116 | 84.7 | |
| 182 | 263 | 152 | 83.5 | |
| 228 | 294 | 183 | 80.3 | |
| 平均 | 82.9 | |||
ラット検体
| 添加量 (mg/dL) |
測定値 (mg/dL) |
回収量 (mg/dL) |
回収率 (%) |
|
|---|---|---|---|---|
| 血清 | - | 96.1 | - | - |
| 86.1 | 179 | 82.5 | 95.8 | |
| 129 | 214 | 117 | 90.7 | |
| 172 | 258 | 162 | 94.2 | |
| 215 | 295 | 199 | 92.6 | |
| 平均 | 93.3 | |||
| 血漿 (EDTA) |
- | 101 | - | - |
| 95.0 | 193 | 92.0 | 96.8 | |
| 143 | 226 | 125 | 87.4 | |
| 190 | 273 | 172 | 90.5 | |
| 238 | 310 | 209 | 87.8 | |
| 平均 | 90.6 | |||
| 血漿 (ヘパリン) |
- | 103 | - | |
| 99.0 | 196 | 93.0 | 93.9 | |
| 149 | 226 | 123 | 82.6 | |
| 198 | 279 | 176 | 88.9 | |
| 248 | 319 | 216 | 87.1 | |
| 平均 | 88.1 | |||
[結果]
いずれも良好な回収率であった。
検体測定例
ヒト検体
| ID\n | 測定値 (mg/dL) | mean | SD | CV (%) |
||
|---|---|---|---|---|---|---|
| 1 | 2 | |||||
| 血清 | ID1 | 104 | 103 | 104 | 0.707 | 0.7 |
| 血漿 (EDTA) |
ID1 | 100 | 100 | 100 | 0.000 | 0.0 |
ラット (SDラット) 検体
| ID\n | 測定値 (mg/dL) | mean | SD | CV (%) |
||
|---|---|---|---|---|---|---|
| 1 | 2 | |||||
| 血清 | ID1 | 132 | 140 | 136 | 5.66 | 4.2 |
| ID2 | 114 | 122 | 118 | 5.66 | 4.8 | |
| ID3 | 135 | 144 | 140 | 6.36 | 4.6 | |
| ID4 | 118 | 115 | 117 | 2.12 | 1.8 | |
| ID5 | 132 | 137 | 135 | 3.54 | 2.6 | |
| 血漿 (EDTA) |
ID1 | 107 | 108 | 108 | 0.707 | 0.7 |
| ID2 | 109 | 112 | 111 | 2.12 | 1.9 | |
| ID3 | 124 | 123 | 124 | 0.707 | 0.6 | |
| ID4 | 105 | 111 | 108 | 4.24 | 3.9 | |
| ID5 | 110 | 118 | 114 | 5.66 | 5.0 | |
マウス (CD-1(ICR)) 検体
| ID\n | 測定値 (mg/dL) | mean | SD | CV (%) |
||
|---|---|---|---|---|---|---|
| 1 | 2 | |||||
| 血清 | ID1 | 127 | 133 | 130 | 4.24 | 3.3 |
| ID2 | 146 | 148 | 147 | 1.41 | 1.0 | |
| ID3 | 143 | 158 | 151 | 10.6 | 7.0 | |
| ID4 | 150 | 157 | 154 | 4.95 | 3.2 | |
| ID5 | 136 | 132 | 134 | 2.83 | 2.1 | |
| 血漿 (EDTA) |
ID1 | 86.8 | 87.9 | 87.4 | 0.778 | 0.9 |
| ID2 | 88.3 | 94.4 | 91.4 | 4.31 | 4.7 | |
| ID3 | 100 | 95.1 | 97.6 | 3.46 | 3.6 | |
| ID4 | 108 | 98.8 | 103 | 6.51 | 6.3 | |
| ID5 | 106 | 109 | 108 | 2.12 | 2.0 | |
| 全血 (EDTA) |
ID1 | 81.6 | 82.9 | 82.3 | 0.919 | 1.1 |
| ID2 | 108 | 118 | 113 | 7.07 | 6.3 | |
| ID3 | 92.0 | 84.5 | 88.3 | 5.30 | 6.0 | |
| ID4 | 95.5 | 101 | 98.3 | 3.89 | 4.0 | |
| ID5 | 69.3 | 67.2 | 68.3 | 1.48 | 2.2 | |
イヌ (ビーグル) 検体
| ID\n | 測定値 (mg/dL) | mean | SD | CV (%) |
||
|---|---|---|---|---|---|---|
| 1 | 2 | |||||
| 血清 | ID1 | 97.6 | 110 | 104 | 8.77 | 8.4 |
| ID2 | 71.1 | 79.7 | 75.4 | 6.08 | 8.1 | |
| ID3 | 65.2 | 75.0 | 70.1 | 6.93 | 9.9 | |
| ID4 | 63.3 | 62.7 | 63.0 | 0.424 | 0.7 | |
| ID5 | 77.6 | 86.5 | 82.1 | 6.29 | 7.7 | |
| ID6 | 73.3 | 79.0 | 76.2 | 4.03 | 5.3 | |
| ID7 | 36.8 | 38.8 | 37.8 | 1.41 | 3.7 | |
| ID8 | 56.2 | 60.2 | 58.2 | 2.83 | 4.9 | |
| 血漿 (EDTA) |
ID1 | 97.4 | 89.3 | 93.4 | 5.73 | 6.1 |
| ID2 | 96.0 | 90.9 | 93.5 | 3.61 | 3.9 | |
| ID3 | 88.5 | 81.4 | 85.0 | 5.02 | 5.9 | |
| ID4 | 78.6 | 71.8 | 75.2 | 4.81 | 6.4 | |
| ID5 | 85.5 | 80.2 | 82.9 | 3.75 | 4.5 | |
| ID6 | 75.0 | 71.8 | 73.4 | 2.26 | 3.1 | |
| ID7 | 85.7 | 83.7 | 84.7 | 1.41 | 1.7 | |
| ID8 | 83.9 | 82.6 | 83.3 | 0.92 | 1.1 | |
ネコ (short hair) 検体
| ID\n | 測定値 (mg/dL) | mean | SD | CV (%) |
||
|---|---|---|---|---|---|---|
| 1 | 2 | |||||
| 血清 | ID1 | 63.2 | 64.7 | 64.0 | 1.06 | 1.7 |
| ID2 | 65.2 | 67.1 | 66.2 | 1.34 | 2.0 | |
| ID3 | 32.4 | 37.0 | 34.7 | 3.25 | 9.4 | |
| ID4 | 40.2 | 43.3 | 41.8 | 2.19 | 5.3 | |
| ID5 | 44.8 | 44.2 | 44.5 | 0.424 | 1.0 | |
| ID6 | 21.4 | 20.3 | 20.9 | 0.78 | 3.7 | |
| ID7 | 253 | 248 | 251 | 3.54 | 1.4 | |
| ID8 | 98.2 | 91.6 | 94.9 | 4.67 | 4.9 | |
| 血漿 (EDTA) |
ID1 | 200 | 201 | 201 | 0.707 | 0.4 |
| ID2 | 118 | 115 | 117 | 2.12 | 1.8 | |
| ID3 | 223 | 224 | 224 | 0.71 | 0.3 | |
| ID4 | 272 | 261 | 267 | 7.78 | 2.9 | |
| ID5 | 120 | 119 | 120 | 0.707 | 0.6 | |
| ID6 | 115 | 112 | 114 | 2.12 | 1.9 | |
| ID7 | 134 | 136 | 135 | 1.41 | 1.0 | |
| ID8 | 107 | 109 | 108 | 1.41 | 1.3 | |
FAQ
検体について
- 測定妨害物質 (アスコルビン酸やビリルビンなど) の影響はありますか。
- アスコルビン酸とビリルビンはわずかに負誤差を与え、溶血はわずかに正誤差を与えます。ですが、抗凝固剤のヘパリン、くえん酸塩、しゅう酸塩、EDTAおよび解糖防止剤のふっ化ナトリウムは、通常使用量では測定値に影響を与えません。
キットの使用について
- 本製品で測定する際に必要な器具、装置は何ですか。
- 本製品の使用には以下の器具、装置が必要です。
- マイクロプレート (透明、96ウェル)
- マイクロピペット
- マイクロチューブ
- 恒温槽 (37℃)
- マイクロプレート振とう器 (マイクロプレートミキサー)
- マイクロプレートリーダー (505 nm吸光フィルター)
- 試験管
- ピペット (試料採取用、試薬分注用)
- 恒温槽 (37℃)
- 分光光度計または505 nmのフィルターをもつ比色計
- 発色剤は溶解後に保存可能ですか。
- 緩衝液で溶解後は2℃ - 10℃で保存し、1ヶ月間使用できます。
概要・使用例
| 概要 | 本キットはグルコースを測定するキットです。溶液中では一定の比率でα‐グルコースとβ‐グルコースとが存在している。本品はα‐Dグルコースをβ型に転移させるムタロターゼとβ‐D‐グルコースのみに作用するグルコースオキシターゼを組み合わせた酵素法試薬です。マイクロプレート法によりマウス血清中のグルコースの測定に用いる事が出来ます。用手法での測定も可能であり、また、ヒト血清中のグルコース定量も行う事が出来ますが、体外診断用に用いる事は出来ません。このキットは研究用のみにご使用下さい。 |
|---|
物性情報
「物性情報」は参考情報でございます。規格値を除き、この製品の性能を保証するものではございません。
本製品の品質及び性能については、本品の製品規格書をご確認ください。
なお目的のご研究に対しましては、予備検討を行う事をお勧めします。
製造元情報
別名一覧
- 638-50971 (旧コード)
LABGLUC-M1 (旧コード)
298-65701 (旧コード)
ラボアッセイ
- 掲載内容は本記事掲載時点の情報です。仕様変更などにより製品内容と実際のイメージが異なる場合があります。
- 製品規格・包装規格の改訂が行われた場合、画像と実際の製品の仕様が異なる場合があります。
- 掲載されている製品について
- 【試薬】
- 試験・研究の目的のみに使用されるものであり、「医薬品」、「食品」、「家庭用品」などとしては使用できません。
- 試験研究用以外にご使用された場合、いかなる保証も致しかねます。試験研究用以外の用途や原料にご使用希望の場合、弊社営業部門にお問合せください。
- 【医薬品原料】
- 製造専用医薬品及び医薬品添加物などを医薬品等の製造原料として製造業者向けに販売しています。製造専用医薬品(製品名に製造専用の表示があるもの)のご購入には、確認書が必要です。
- 表示している希望納入価格は「本体価格のみ」で消費税等は含まれておりません。
- 表示している希望納入価格は本記事掲載時点の価格です。