ホルマリン (ホルムアルデヒド)
ホルマリンはホルムアルデヒドの約37w/w%水溶液です。病理実験などにおける組織や細胞の固定液として広く用いられています。ホルマリンにも さまざまな種類があり、組織への浸透性や、酸の影響、安全性などの要因を考慮して適切なホルマリンを使用することが重要です。特にホルマリンは人体に対する有害性が報告されており、ホルマリンへの暴露をできるかぎり減らすことが求められています。
当社ではホルマリンや中性緩衝ホルマリン、パラホルムアルデヒドなど各種組織固定液を取り扱っています。暴露防止容器に充填した中性緩衝ホルマリンやホルマリン特有の刺激臭を抑えたマイルド剤入りホルマリンなど研究者のニーズに対応したホルマリンなどもラインアップしております。
ホルマリンとは?
ホルマリンはホルムアルデヒドの約37w/w%水溶液です。ホルムアルデヒドはタンパク質の側鎖官能基などと反応し、分子内もしくは分子間にメチレン架橋構造 (-CH2-) を形成します。これによりタンパク質は不動化し、固定されます。そのため、ホルマリンは病理実験などにおける組織や細胞の固定液として広く用いられています。なお、ホルマリンにはホルムアルデヒドの重合を防ぐためにメタノールが加えられていることがほとんどです。またホルマリンは日光や空気に触れると自己酸化してぎ酸を生じます。組織によってはぎ酸の影響を受けるものもあるため、これを避けたい場合はホルマリンにりん酸ナトリウムを加えた、中性緩衝ホルマリンを使用します。
病理実験に使用されるホルマリンには10%、15%、20%など複数の濃度があります。10%ホルマリンは、ホルマリン (約37w/w%水溶液) の10%希釈液 (ホルムアルデヒド含量 約3.7w/w%) を指します。組織の固定には、一般的に10%ホルマリンが用いられますが、ホルマリンの濃度を上げることで組織への浸透を早め、固定時間を短くすることができます。しかしながら高濃度のホルマリンは試料にダメージを与える恐れがあり、実験の目的によって適切な濃度のホルマリンを選択する必要があります。「HER2検査ガイド 乳癌編第4版」のようにタンパク質の抗原性や遺伝子を保持する観点から10%中性緩衝ホルマリンの使用が推奨されているケースもあります1)。
上述の通り、病理実験になくてはならないホルマリンですが、人体にとって有害な物質でもあります。ホルムアルデヒドの吸入や接触はぜんそくや皮膚炎を引き起こし、高濃度かつ長期的な暴露は発がんにつながるとの報告もあります2)。ホルマリンによる健康障害を防止するため、その取扱いやリスク評価は法律によって定められています。対策としてはホルマリンの暴露をできるかぎり減らすことが重要であり、暴露防止容器に充填されていたり、既に小分けされているホルマリンを使用することも有効な解決策です。またホルマリンは独特な刺激臭・不快臭を有しており、この臭いが作業者の負担になる場合があります。この刺激臭・不快臭を低減するため、マイルド剤 (ワインエキス) を添加したホルマリンも販売されています。
ホルマリン (ホルムアルデヒド)
ホルマリンはホルムアルデヒドの約37w/w%水溶液です。当社ではホルマリンおよびその希釈液 (10%、15%、20%) をラインアップしています。高濃度のホルマリンは組織への浸透が早く、固定時間を短縮することができますが、一方で組織へダメージを与える可能性があり、実験に最適な濃度を選択する必要があります。なお当社のホルマリンは、ホルムアルデヒドの重合を防ぐために安定化剤としてメタノールが含まれています。ホルムアルデヒド液 (試薬特級/和光一級/分子生物学用) に含まれるメタノール含量は5-10w/w%です。
製品ラインアップ
| 品名 | 規格 | ホルムアルデヒド 規格含量 (w/w%) |
pH規格 | 概要 |
|---|---|---|---|---|
| ホルムアルデヒド液 | 試薬特級 | 36.0 - 38.0 | ー (中性~弱酸性) |
JIS規格に適合したホルムアルデヒド液 (ホルマリン) |
| ホルムアルデヒド液 | 和光一級 | 35.0 - 38.0 | 社内規格 (一級) に適合したホルマリン | |
| ホルムアルデヒド液 | 分子生物学用 | 36.0 - 38.0 | 分子生物学の実験用にDNase/RNase活性が検出限界以下であることを確認したホルマリン | |
| 10% ホルマリン液 | 組織固定用 | 3.7 - 4.1 | ホルマリンの10%希釈液 | |
| 15% ホルマリン液 | 組織固定用 | 5.8 - 6.1 | ホルマリンの15%希釈液 | |
| 20% ホルマリン液 | 組織固定用 | 7.6 - 8.2 | ホルマリンの20%希釈液 |
中性緩衝ホルマリン
ホルマリンは分解してぎ酸を生じますが、組織によってはぎ酸の影響を受けるものがあります。中性緩衝ホルマリンは、ホルマリンにりん酸ナトリウムを加えてpH約7.4に調整したもので、酸による組織への影響を低減しています。さらに中性緩衝ホルマリンは汎用的な固定液として優れているだけでなく、通常のホルマリンが使えない粘性多糖類、グリコーゲン、神経原線維を含む組織の固定や電子顕微鏡観察における組織の固定など特殊な目的でも使用されます。
製品ラインアップ
| 品名 | 規格 | ホルムアルデヒド 規格含量 (w/w%) |
pH規格 (25°C) |
概要 |
|---|---|---|---|---|
| 10%中性緩衝ホルマリン液 | 組織固定用 | 3.8 - 4.1 | 7.4 - 7.5 | ホルマリンの10%希釈液。りん酸ナトリウムでpHを調整。小分け済みのホルマリンもラインアップ |
| 15%中性緩衝ホルマリン液 | 組織固定用 | 5.8 - 6.1 | 7.35 - 7.45 | ホルマリンの15%希釈液。りん酸ナトリウムでpHを調整。 |
| 20%中性緩衝ホルマリン液 | 組織固定用 | 7.6 - 8.2 | 7.3 - 7.5 | ホルマリンの20%希釈液。りん酸ナトリウムでpHを調整。 |
| SafeCap™ Wako 10%中性緩衝ホルマリン液 | 組織固定用 | 3.8 - 4.1 | - | 暴露防止容器SafeCap™に当社の10%中性緩衝ホルマリンを分注。ホルマリンの暴露や接触を防ぎ、安全に固定が可能。 |
| 10%中性緩衝ホルマリン液 [小分け済み] | 組織固定用 | 3.8 - 4.1 | - | ホルマリンの10%希釈液。りん酸ナトリウムでpHを調整。 既に小分けされており、ホルマリンの暴露や作業にかかる時間と労力を低減。 |
| マイルドホルム® 10N | 病理研究用 | 3.7 - 4.3 | 7.0 - 7.5 | 10%中性緩衝ホルマリン液にマイルド剤を添加し、ホルマリンの不快臭を抑制。 |
| マイルドホルム® 20N | 病理研究用 | 7.5 - 8.5 | 7.0 - 7.5 | 20%中性緩衝ホルマリン液にマイルド剤を添加し、ホルマリンの不快臭を抑制。 |
| マイルドホルム® 10NM | 病理研究用 | 3.7 - 4.3 | 7.0 - 7.5 | 10%中性緩衝ホルマリン液にマイルド剤を添加し、ホルマリンの不快臭を抑制。安定化剤としてのメタノールに加えて、組織への浸透性向上を目的に容量に対して10%量のメタノールを添加。 |
| マイルドホルム® 20NM | 病理研究用 | 7.5 - 8.5 | 7.0 - 7.5 | 20%中性緩衝ホルマリン液にマイルド剤を添加し、ホルマリンの不快臭を抑制。安定化剤としてのメタノールに加えて、組織への浸透性向上を目的に容量に対して10%量のメタノールを添加。 |
※ 上記製品はすべてメタノールを含みますが、含量は測定していません。
安全に配慮した中性緩衝ホルマリン
ホルマリンは人体にとって有害であることが報告されており、ホルマリンの暴露をできるかぎり減らすことが重要です。当社では暴露防止容器や既に小分けされているホルマリンを販売しています。
(10 mLホルダー、6穴)
(1) SafeCap™ Wako 10%中性緩衝ホルマリン液
SafeCap™ Wako 10%中性緩衝ホルマリン液は、暴露防止容器「SafeCap™」に分注した10%中性緩衝ホルマリンです。キャップ内にホルマリンが入っており、検体を容器内に入れてキャップを締めると、キャップの特殊フィルムが破れ、ホルマリンが容器へと流れ込みます。これにより固定前にホルマリンを吸入したり、触れたりすることがなくなります。また転倒防止用のホルダーもご用意しております (別売, 2026年3月下旬発売予定)。

使用方法
①キャップを開ける
②検体を容器の中に入れる
③キャップが回らなくなるまで締める
④容器をゆっくり斜めにし、ホルマリンを流し入れる
[注意]
- 容器とキャップの空気交換により液が流れるため、容器内への充填に時間がかかる場合があります。
- 激しく振ったり、過度にキャップを締めないで下さい。破損や液漏れの原因になります。
(2) 10%中性緩衝ホルマリン液 (小分け済み)

小分け済みの10%中性緩衝ホルマリンです。容器にはすでにホルマリンが分注されているため、試料を入れるだけで固定ができ、ホルマリンの暴露や作業にかかる時間と労力を低減することができます。
臭いを低減した中性緩衝ホルマリン
ホルマリンは独特な刺激臭を有しており、この刺激臭を不快に感じる人もいます。当社では刺激臭を低減するため、マイルド剤 (ワインエキス) を添加したホルマリン「マイルドホルム®」を販売しています (安全性を考え、ホルマリンと認識できる程度の臭いは残しています)。組織への浸透や固定の能力は中性緩衝ホルマリン液と同等以上です。N (Neutral) タイプは、中性緩衝ホルマリンにマイルド剤を添加したもので、NM (Neutral/Methanol) タイプは組織への浸透性向上を目的に、中性緩衝ホルマリンへさらに容量に対して10%量のメタノールを添加した製品です。
データ
ヒトリンパ節組織の免疫組織染色
<データ提供> 大阪厚生年金病院 病理検査科
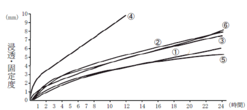
ヒト肝組織への浸透・固定度テスト
② マイルドホルム® 10NM
③ マイルドホルム® 20N
④ マイルドホルム® 20NM
⑤ 10%ホルマリン液
⑥ 20%中性緩衝ホルマリン液
パラホルムアルデヒド
パラホルムアルデヒド (PFA: Paraformaldehyde) はホルムアルデヒドの重合体で、4%パラホルムアルデヒド・りん酸緩衝液はホルマリンと同様に組織固定液として広く使用されています。ホルマリンと異なり、メタノールを含みません。
製品ラインアップ
| 品名 | 規格 | 含量 (w/w%) ホルムアルデヒドとして |
pH規格 (25°C) |
概要 |
|---|---|---|---|---|
| パラホルムアルデヒド | 組織固定用 | >94.0 | ー | パラホルムアルデヒド (固体)。規格として外観や含量のほか、水酸化ナトリウム溶液溶状、緩衝液溶状、酸 (HCOOH) を設定。 |
| パラホルムアルデヒド | 電子顕微鏡用 | >94.0 | ー | パラホルムアルデヒド (固体)。規格として外観や含量のほか、水酸化ナトリウム溶液溶状、緩衝液溶状、酸 (HCOOH) を設定。 |
| パラホルムアルデヒド | 化学用 | >85.0 | ー | パラホルムアルデヒド (固体)。規格は外観と含量のみ。 |
| 4%パラホルムアルデヒド・りん酸緩衝液 | 組織固定用 | 3.5 - 4.4 | 7.0 - 7.4 | パラホルムアルデヒドを約4%含むりん酸緩衝液。 |
参考文献
- 乳がんHER2検査病理部会: 「HER2検査ガイド 乳癌編 第4版」 (2014).
- IARC: “Formaldehyde, 2-butoxyethanol and 1-tert-butoxypropan-2-ol”, IARC, vol.88 (2006).
製品一覧
- 項目をすべて開く
- 項目をすべて閉じる
ホルマリン (ホルムアルデヒド)
中性緩衝ホルマリン
中性緩衝ホルマリン (暴露防止容器入り)
中性緩衝ホルマリン (小分け済み)
中性緩衝ホルマリン (マイルド剤入り)
パラホルムアルデヒド
パラホルムアルデヒド・りん酸緩衝液
- 掲載内容は本記事掲載時点の情報です。仕様変更などにより製品内容と実際のイメージが異なる場合があります。
- 掲載されている製品について
- 【試薬】
- 試験・研究の目的のみに使用されるものであり、「医薬品」、「食品」、「家庭用品」などとしては使用できません。
- 試験研究用以外にご使用された場合、いかなる保証も致しかねます。試験研究用以外の用途や原料にご使用希望の場合、弊社営業部門にお問合せください。
- 【医薬品原料】
- 製造専用医薬品及び医薬品添加物などを医薬品等の製造原料として製造業者向けに販売しています。製造専用医薬品(製品名に製造専用の表示があるもの)のご購入には、確認書が必要です。
- 表示している希望納入価格は「本体価格のみ」で消費税等は含まれておりません。
- 表示している希望納入価格は本記事掲載時点の価格です。
