高感度・高分解能MS用
QTofMS用溶媒

QTofMS(四重極-飛行時間型質量分析計)は、複雑なサンプル中の未知物質の同定・定量が同時に行え、プロテオミクス・メタボロミクス研究などに利用されています。
本溶媒は、高感度・高分解能QTofMSを用いたESIイオン化法において、妨害となる不純物を限りなく低減させた溶媒です。
さらに超高速液体クロマトグラフィー(UHPLC)による試験も実施しているため、高感度LC/MS分析にお使いいただけます。
この度、長らくご愛顧いただいておりましたQTofMS用溶媒を、誠に勝手ながら在庫が無くなり次第販売終了とさせていただくことになりました。下記にアセトニトリルのQTofMS用溶媒と代替品となるLC/MS用溶媒の規格比較表を記載しております。
特長
- QTofMSによる適合性試験実施
- フルスキャンによる幅広い質量範囲の保証(質量範囲50~3,000)
- 多変量解析により不純物を管理
- カラム接続によるグラジエント測定(UHPLC測定)を実施
- パーティクル保証
- 使い切りやすい500 mLをラインアップ
データ
QTofMS用アセトニトリルと各社LC/MS用純水によるTIC測定例
QTofMS用アセトニトリルとQTofMS用超純水を使用することによって、バックグラウンドノイズを抑えることができます。

測定条件 |
|
| 測定装置 カラム 溶離液 流量 検出器 MS装置 イオン化法 質量範囲 極性 |
:Waters ACQUITY UPLC H-Class :Wakopak® Ultra C18-2; 2.1 mmφ×50 mm :アセトニトリル(QTofMS用):水 (各社) 0-2 min,(B)1 %→2-7 min,(B)1-95 % →10 min,(B)95 % :0.5 mL/min. :UV 210 nm :飛行時間型質量分析計(Waters Xevo G2-X2) :ESI :m/z 50~3000 :positive |
QTofMS用溶媒とLS/MS用溶媒の規格比較表(アセトニトリル)
| 試験項目 | QTofMS用 | LC/MS用 |
|---|---|---|
| 外観 | 無色澄明の液体 | 無色澄明の液体 |
| 密度(20 ℃) | 0.780 - 0.783 g/mL | 0.780 - 0.783 g/mL |
| 屈折率nD20 | 1.343 - 1.346 | 1.343 - 1.346 |
| 吸光度(200 nm) | 0.04以下 | 0.04以下 |
| 吸光度(210 nm) | 0.03以下 | 0.03以下 |
| 吸光度(220 nm) | 0.02以下 | 0.02以下 |
| 吸光度(230 nm) | 0.01以下 | 0.01以下 |
| 吸光度(240 nm) | 0.005以下 | 0.005以下 |
| 水分 | 0.03 %以下 | 0.05 %以下 |
| 不揮発物 | 0.001 %以下 | 0.001 %以下 |
| 酸(CH3COOHとして) | 0.001 %以下 | 0.001 %以下 |
| アンモニウム(NH4) | 0.3 ppm以下 | 0.3 ppm以下 |
| パーティクル(0.5 μm以上) | 100 個/mL以下 | 100 個/mL以下 |
| 過酸化物(H2O2として) | 5 ppm以下 | 5 ppm以下 |
| 蛍光試験 | 試験適合 | 試験適合 |
| 過マンガン酸還元性物質 | 試験適合 | 試験適合 |
| グラジエント試験 | ー | 試験適合 |
| QTofMS分析適合性 | 試験適合 | ー |
| LC/MS分析適合性 | ー | 試験適合 |
| 含量(キャピラリーカラムGC) | 99.9 %以上 | 99.8 %以上 |
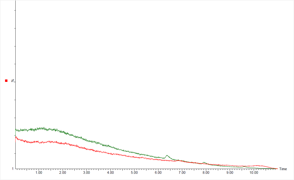
ベースライン比較
LC/MS用溶媒は製法の見直しにより、品位が向上し、従来よりさらにベースラインを低く抑えています。
そのため、高感度MSにも安心してお使いいただけます。
赤:QTofMS用
緑:LC/MS用
-
アセトニトリル

-
超純水

-
2-プロパノール

-
メタノール

製品一覧
- 項目をすべて開く
- 項目をすべて閉じる
- 掲載内容は本記事掲載時点の情報です。仕様変更などにより製品内容と実際のイメージが異なる場合があります。
- 掲載されている製品について
- 【試薬】
- 試験・研究の目的のみに使用されるものであり、「医薬品」、「食品」、「家庭用品」などとしては使用できません。
- 試験研究用以外にご使用された場合、いかなる保証も致しかねます。試験研究用以外の用途や原料にご使用希望の場合、弊社営業部門にお問合せください。
- 【医薬品原料】
- 製造専用医薬品及び医薬品添加物などを医薬品等の製造原料として製造業者向けに販売しています。製造専用医薬品(製品名に製造専用の表示があるもの)のご購入には、確認書が必要です。
- 表示している希望納入価格は「本体価格のみ」で消費税等は含まれておりません。
- 表示している希望納入価格は本記事掲載時点の価格です。
Share