ラボアッセイ (TM) アンモニア
LabAssay (TM) Ammonia
|
比較
|
製品コード
|
容量
|
価格
|
在庫 / 納期目安
|
|
|---|---|---|---|---|---|
|
|
|
700回用
|
|
|
ドキュメント
キットコンポーネント
ラインナップ
| 除たん白試液 | 100 mL/1本 |
|---|---|
| 発色試液A | 50 mL/1本 |
| 発色試液B | 25 mL/1本 |
| 発色試液C | 50 mL/1本 |
| 標準液 | 15 mL/1本 |
| 標準液用希釈液 | 20 mL/1本 |
概要
アンモニアは主に腸内、腎臓で産生されます。生体内で産生されたアンモニアは、肝臓の尿素サイクルによって尿素に変換され尿中に排泄されます。
本品は、ペンタシアノニトロシル鉄(Ⅲ)酸ナトリウムを触媒として、フェノール、次亜塩素酸を用いたベルテロー反応を利用した比色法に基づくアンモニア測定試薬です。検体中のアンモニア量の測定に用いることができます。マイクロプレート法および用手法での測定も可能です。
キット性能
| 測定対象検体 | ヒト 全血 マウス 全血 ラット 全血 イヌ 血清/血漿 ネコ 血清/血漿 細胞培養上清※ |
|---|---|
| 検量線範囲 | 100-400 μg/dL |
| 検体量 | 70 μL |
| 測定時間 | 約70分 |
| 測定波長 | 630 nm |
検量線例

測定原理
検体に除たん白試液を加えて除たん白することにより、呈色阻害成分を除去すると同時に検体中の諸酵素を失活させます。この上清に、フェノール、ペンタシアノニトロシル鉄(Ⅲ)酸ナトリウムを加え、さらにアルカリ性としたのち、次亜塩素酸ナトリウムで酸化すると、インドフェノールを生成し青色を呈します。この青色の吸光度を測定することにより検体中のアンモニア窒素濃度を求めます。

測定操作法
マイクロプレート法
下記に従って、反応させてください。
| テスト | スタンダード | ブランク | |
|---|---|---|---|
| 最初の操作はマイクロチューブで行う | |||
| 除たん白試液 | 除たん白試液:血液=4:1 (v/v) となるように調整。 | 除たん白試液:標準液=4:1 (v/v) となるように調整。 | 70 μL |
| 試料 | - | ||
| よく混合する。遠心分離5000 x g、4℃、15分間。以降の操作はウェル内で行う。 | よく混合する。以降の操作はウェル内で行う。 | ||
| 上清 70 μL | 混液 70 μL | - | |
| 発色試液A | 70 μL | 70 μL | 70 μL |
| 発色試液B | 35 μL | 35 μL | 35 μL |
| 発色試液C | 70 μL | 70 μL | 70 μL |
| 各試薬をマイクロプレートに添加後、プレートミキサーでよく混合し、37℃で20分間加温。 よく混合し、室温*で30分間静置。 よく混合し、ブランクを対照として630 nmにおける検体および標準液の吸光度を測定する。 |
|||
* 室温:20℃-25℃
データ
同時再現性試験
本製品でマウス、ラットの検体について8重測定を実施し、精度を確認した。
| n\ID | マウス (BALB/c) 検体 | ラット (SD) 検体 |
|---|---|---|
| ID2 (μg/dL) | ID1 (μg/dL) | |
| 1 | 88.9 | 66.4 |
| 2 | 83.4 | 66.4 |
| 3 | 86.2 | 63.5 |
| 4 | 86.2 | 63.5 |
| 5 | 86.2 | 66.4 |
| 6 | 83.4 | 63.5 |
| 7 | 86.2 | 75.0 |
| 8 | 80.6 | 66.4 |
| mean | 85.1 | 66.4 |
| SD | 2.54 | 3.76 |
| CV(%) | 3.0 | 5.7 |
[結果]
マウス検体のCV(%)は、3.0%、ラット検体のCV(%)は、5.7%と良好であった。
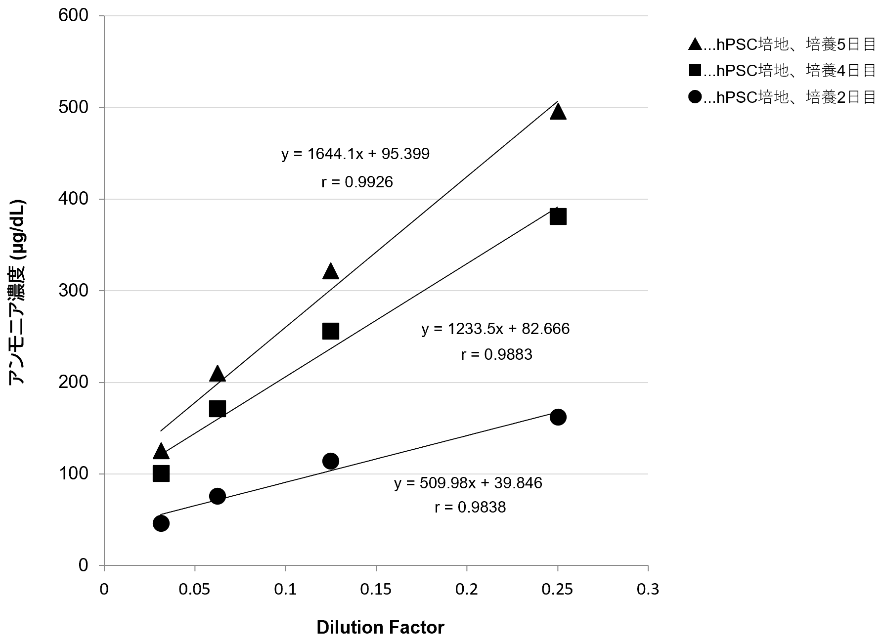
希釈直線性試験
hPSC培地を用いてiPS細胞を培養し、その細胞培養上清の4, 8, 16, 32倍希釈後のアンモニア濃度を測定し、直線性を確認した。培養から2, 4, 5日経過した検体の結果をグラフに示す。

[結果]
いずれの測定条件においても良好な直線性を示した。
他社卓上分析装置用試薬との相関性
本製品のプレートアッセイ法と他社卓上分析装置用試薬のチューブアッセイ法を用いて細胞培養上清検体を測定し、その相関を確認した。本製品の測定値は、希釈直線性試験の結果から16倍希釈後の測定値を用いた。培地にはhPSC (無血清培地) の他にD-MEM (10%FBS)、E-MEM (10%FBS)、RPMI (10%FBS) を用いた。

[結果]
本製品にて検体を16倍に希釈して測定した結果と他社卓上分析装置用試薬での測定結果には高い相関が確認できた。
添加回収試験
マウス、ラットの検体に3濃度の標準品を添加し、2重測定を実施した。
マウス検体
| 添加量 (μg/dL) |
測定値 (μg/dL) |
回収量 (μg/dL) |
回収率 (%) |
|
|---|---|---|---|---|
| ID-a | - | 81.8 | - | - |
| 56.9 | 142 | 60.2 | 106 | |
| 114 | 205 | 123 | 108 | |
| 171 | 247 | 165 | 96.5 | |
| 平均 | 103 | |||
| ID-b | - | 89.2 | - | - |
| 56.9 | 139 | 49.8 | 87.5 | |
| 114 | 201 | 112 | 98.2 | |
| 171 | 230 | 141 | 82.5 | |
| 平均 | 89.4 | |||
| ID-c | - | 84.8 | - | |
| 56.9 | 145 | 60.2 | 106 | |
| 114 | 217 | 132 | 116 | |
| 171 | 255 | 170 | 99.4 | |
| 平均 | 107 | |||
ラット検体
| 添加量 (μg/dL) |
測定値 (μg/dL) |
回収量 (μg/dL) |
回収率 (%) |
|
|---|---|---|---|---|
| ID-a | - | 77.3 | - | - |
| 56.9 | 137 | 59.7 | 105 | |
| 114 | 188 | 111 | 97.4 | |
| 171 | 236 | 159 | 93.0 | |
| 平均 | 98.4 | |||
| ID-b | - | 77.3 | - | - |
| 56.9 | 135 | 57.7 | 101 | |
| 114 | 191 | 114 | 100 | |
| 171 | 242 | 165 | 96.5 | |
| 平均 | 99.3 | |||
| ID-c | - | 95.0 | - | |
| 56.9 | 147 | 62.0 | 109 | |
| 114 | 216 | 121 | 106 | |
| 171 | 265 | 170 | 99.4 | |
| 平均 | 104.8 | |||
[結果]
いずれも良好な回収率であった。
検体測定例
イヌ検体
| ID\n | 測定値 (μg/dL) | mean | SD | CV (%) |
||
|---|---|---|---|---|---|---|
| 1 | 2 | |||||
| 血清 | ID1 | 331 | 365 | 348 | 24.0 | 6.9 |
| ID2 | 296 | 323 | 310 | 19.1 | 6.2 | |
| ID3 | 409 | 465 | 437 | 39.6 | 9.1 | |
| ID4 | 367 | 365 | 366 | 1.41 | 0.4 | |
| ID5 | 453 | 513 | 483 | 42.4 | 8.8 | |
| ID6 | 349 | 366 | 358 | 12.0 | 3.4 | |
| ID7 | 451 | 504 | 478 | 37.5 | 7.8 | |
| ID8 | 291 | 323 | 307 | 22.6 | 7.4 | |
| 血漿 (EDTA) |
ID1 | 232 | 210 | 221 | 15.6 | 7.0 |
| ID2 | 194 | 178 | 186 | 11.3 | 6.1 | |
| ID3 | 225 | 207 | 216 | 12.7 | 5.9 | |
| ID4 | 208 | 196 | 202 | 8.49 | 4.2 | |
| ID5 | 181 | 202 | 192 | 14.8 | 7.8 | |
| ID6 | 155 | 175 | 165 | 14.1 | 8.6 | |
| ID7 | 144 | 151 | 148 | 4.95 | 3.4 | |
| ID8 | 156 | 173 | 165 | 12.0 | 7.3 | |
ネコ検体
| ID\n | 測定値 (μg/dL) | mean | SD | CV (%) |
||
|---|---|---|---|---|---|---|
| 1 | 2 | |||||
| 血清 | ID1 | 381 | 366 | 374 | 10.6 | 2.8 |
| ID2 | 370 | 378 | 374 | 5.66 | 1.5 | |
| ID3 | 381 | 342 | 362 | 27.6 | 7.6 | |
| ID4 | 357 | 329 | 343 | 19.8 | 5.8 | |
| ID5 | 249 | 245 | 247 | 2.83 | 1.1 | |
| ID6 | 315 | 299 | 307 | 11.3 | 3.7 | |
| ID7 | 403 | 388 | 396 | 10.6 | 2.7 | |
| ID8 | 198 | 193 | 196 | 3.54 | 1.8 | |
| 血漿 (EDTA) |
ID1 | 191 | 204 | 198 | 9.19 | 4.7 |
| ID2 | 109 | 109 | 109 | 0.00 | 0.0 | |
| ID3 | 113 | 119 | 116 | 4.24 | 3.7 | |
| ID4 | 138 | 156 | 147 | 12.7 | 8.7 | |
| ID5 | 133 | 137 | 135 | 2.83 | 2.1 | |
| ID6 | 103 | 114 | 109 | 7.78 | 7.2 | |
| ID7 | 129 | 137 | 133 | 5.66 | 4.3 | |
| ID8 | 170 | 169 | 170 | 0.71 | 0.4 | |
FAQ
検体について
- 検体の取り扱いで何か注意点はありますか。
- 血中アンモニアは、採血後室温に放置すると経時的に上昇します。あらかじめ除たん白試液を入れた試験管またはチューブに、採血後ただちに血液を入れ、すぐに混合し、遠心分離してください。
- 血液添加剤 (抗凝固剤やアミノ酸製剤など) の使用上の注意点は何ですか。
- 抗凝固剤のヘパリン、二重しゅう酸塩は使用しないで下さい。アミノ酸製剤は負誤差を与えますので注意してください。
キットの使用について
- 本製品で測定する際に必要な器具、装置は何ですか。
- 本製品の使用には以下の器具、装置が必要です。
- 96 ウェルの透明マイクロプレート
- マイクロピペット
- 恒温槽 (37℃)※
- プレートミキサー※
- マイクロプレートリーダー (630 nm 吸光フィルター)
※ マイクロプレートリーダーの機種によっては不要です。(用手法の場合)
- 試験管またはマイクロチューブ
- ピペット (試料採取用、試液分注用)
- 恒温槽 (37℃)
- 分光光度計および 630 nm のフィルターをもつ比色計
- 各試薬の保管方法や使用期限の目安を教えてください。
- 2℃-10℃で保存し、凍結させないで下さい。
概要・使用例
| 概要 | ラボアッセイ (TM) アンモニアは、ペンタシアノニトロシル鉄(Ⅲ)酸ナトリウムを触媒として、フェノール、次亜塩素酸を用いたベルテロー反応を利用した比色法に基づくアンモニア測定試薬です。生体内で産生されたアンモニアは、肝臓の尿素サイクルによって尿素に変換され尿中に排出されます。マウス、ラット及びヒト血液中のアンモニア量の測定に用いる事が出来ます。マイクロプレート法及び用手法での測定が可能です。体外診断用に用いる事は出来ません。 〇キット性能 検量線範囲:100~400 μg/dL(μg/100 mL) 測定時間:約70 分 検体量:70 μL 測定波長:630 nm |
|---|
物性情報
「物性情報」は参考情報でございます。規格値を除き、この製品の性能を保証するものではございません。
本製品の品質及び性能については、本品の製品規格書をご確認ください。
なお目的のご研究に対しましては、予備検討を行う事をお勧めします。
製造元情報
別名一覧
- ラボアッセイ
633-51761(旧コード)
LABNH3-M1 (旧コード)
295-78901 (旧コード)
- 掲載内容は本記事掲載時点の情報です。仕様変更などにより製品内容と実際のイメージが異なる場合があります。
- 製品規格・包装規格の改訂が行われた場合、画像と実際の製品の仕様が異なる場合があります。
- 掲載されている製品について
- 【試薬】
- 試験・研究の目的のみに使用されるものであり、「医薬品」、「食品」、「家庭用品」などとしては使用できません。
- 試験研究用以外にご使用された場合、いかなる保証も致しかねます。試験研究用以外の用途や原料にご使用希望の場合、弊社営業部門にお問合せください。
- 【医薬品原料】
- 製造専用医薬品及び医薬品添加物などを医薬品等の製造原料として製造業者向けに販売しています。製造専用医薬品(製品名に製造専用の表示があるもの)のご購入には、確認書が必要です。
- 表示している希望納入価格は「本体価格のみ」で消費税等は含まれておりません。
- 表示している希望納入価格は本記事掲載時点の価格です。