三りん酸化試薬
近年、有機合成による三りん酸化の合成スキームは数多く提案されています。一般的に、ヌクレオシドまたはヌクレオシド 5'-モノりん酸を出発原料とし、3価のりんあるいは5価のりん中間体を経由して、三りん酸化を行う方法が知られています。1)
こちらでは、その反応に使用する三りん酸化試薬をご紹介しています。
特長
- ヌクレオシドの5’位水酸基を三りん酸化
- 三りん酸化反応を阻害する水分を管理
反応例
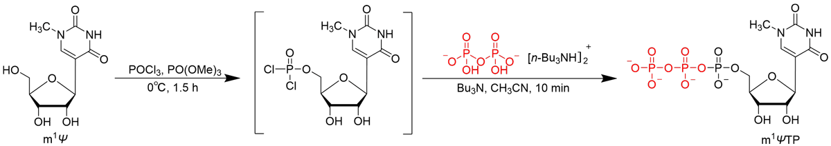
- 3価のりんを経由した三りん酸化反応2)

- 5価のりんを経由した三りん酸化反応3)

これらの反応では、反応系中に水が含まれていると副生成物が形成されやすいため、無水条件が不可欠です。
参考文献
- Roy, B., Depaix, A., Pèrigaud, C. and Peyrottes, S.: Chem. Rev.,116, 7875 (2016).
- Williams, C. J. et al.: Curr Protoc Nucleic Acid Chem., 52, 1.30.1 (2013).
- Shanmugasundaram, M. et al.: Nucleosides, Nucleotides and Nucleic Acids., 35, 356 (2016).
製品一覧
- 項目をすべて開く
- 項目をすべて閉じる
- 掲載内容は本記事掲載時点の情報です。仕様変更などにより製品内容と実際のイメージが異なる場合があります。
- 掲載されている製品について
- 【試薬】
- 試験・研究の目的のみに使用されるものであり、「医薬品」、「食品」、「家庭用品」などとしては使用できません。
- 試験研究用以外にご使用された場合、いかなる保証も致しかねます。試験研究用以外の用途や原料にご使用希望の場合、弊社営業部門にお問合せください。
- 【医薬品原料】
- 製造専用医薬品及び医薬品添加物などを医薬品等の製造原料として製造業者向けに販売しています。製造専用医薬品(製品名に製造専用の表示があるもの)のご購入には、確認書が必要です。
- 表示している希望納入価格は「本体価格のみ」で消費税等は含まれておりません。
- 表示している希望納入価格は本記事掲載時点の価格です。
Share