国内初!!GLP適用での試験実施可能!!
本サービスは、ヒトiPS細胞由来心筋細胞 (iCell心筋細胞2.0) により、医薬品候補物質のヒト心筋細胞への作用を統合的に評価可能で、偽陽性判定による有望化合物のドロップアウトや臨床段階で初めて発現する心毒性リスクによるプロジェクト中断など、開発期間の長期化、コスト増大が課題を解決することが可能です。
1化合物からのご依頼も可能なことから、大手製薬メーカーをはじめ、創薬ベンチャー、アカデミアの方々からのご依頼やお問い合わせを数多くいただいております。
また、定期的にご依頼をいただいていることもあり、2024年9月~2025年8月末での評価検体数が233検体です。
また、国内初となる、GLPの基準を満たした試験も開始しました。
【hERG, iPS心筋細胞による試験結果とヒトQT延長の関係】
| 薬剤 | iPS心筋細胞試験2) | 臨床QT延長3) | hERG試験2) |
|---|---|---|---|
| E-4031 | + | + | + |
| Terfenadine | + | + | + |
| Dofetilide | + | + | + |
| Flecanide | + | + | + |
| Astemizole | + | + | + |
| Verapamil | - | - | + |
| Mexiletine | - | - | - |
| Loratadine | - | - | + |
| Aspirin | - | - | - |
参考文献
- Kodama, M. et al. : Journal of Pharmacological Siences, 140, 325-330 (2019).
- Ando et al. : Journal of Pharmacological and Toxicological Methods, 84 (2017) 111-127
FPDcF 10%延長濃度, hERG IC50が10µM以下の場合に陽性と判定 - Credible Med; Know risk of TdP を + と判定
【hERG、 iPS心筋細胞による試験結果とヒトQT延長の関係】

試験概要
試験フロー

評価項目
- FPDcF (FPDcF10:10%延長/短縮濃度)
- 拍動数
- 異常波形 (EAD:早期脱分極)
以下のパラメーターも評価可能です。
- Viability (電極抵抗値)
- 1st Peak Amplitude (µV)
- 2nd Peak Amplitude (µV)
納期
- 速報連絡: 培養開始後、約2週間
- 最終報告: 培養開始後、約4-5週間

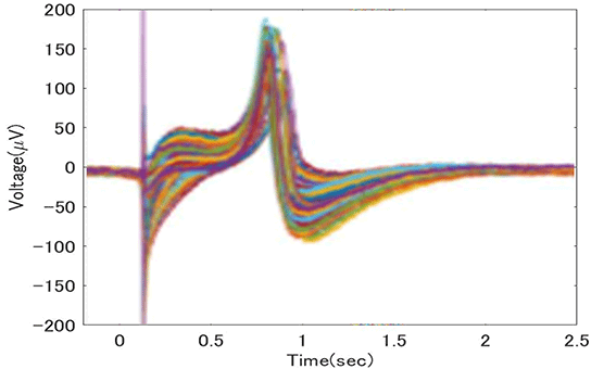
【Dose Response】

【Report】

特長
ハイスループットが評価可能 (22化合物/プレート)
96wellプレートで測定可能な系を構築したことにより、22化合物 (n=4) まで同時測定が可能となりました。
【プレートのイメージ図】

核染色像 [Hoechst 33342]
ウェル内の電極上に高精度に細胞播種が可能なプロトコルを構築

細胞外電位 [0.1% DMSO]
DMSO処置後の各ウェル毎の波形データ解析基準を満たす細胞外電位を全ウェルで取得できることを確認

Scale Bar : y=50µV, x=0.5sec
CiPA compounds の評価データ

化合物の長期暴露によるMEA評価
ヒトiPS細胞由来心筋細胞 (iCell心筋細胞2.0) へ化合物を曝露後、長時間のデータ取得が可能な系を構築しました (測定期間については応相談)。
AspirinとPentamidineの2化合物を用いて、長期暴露評価を実施しました。
Aspirin
【Time Dependency】

【Report】

ヒトiPS細胞由来心筋細胞への影響はなし
Pentamidine
【Time Dependency】

【Report】

ヒトiPS細胞由来心筋細胞への影響あり
事例紹介 ~心血管系リスク予測評価系の有用性~
目的
心血管系リスクのため臨床試験が中止された化合物を用いてiPS心筋細胞による心血管系リスク予測評価系の有用性を検証
評価化合物
抗細菌剤LpxC inhibitorとして開発され,臨床試験を実施した2種の低分子化合物
ACHN-975

- 心血管リスクによりPhase1で開発中止
- 75 mg/kg (Free plasma conc≒27 μM) で収縮期血圧低下
- 10 μg/mL (27 μM) でsite2 Na Channel (NaV) を阻害 (>50%)
- 100 μg/mL (270 μM) でNaVを97%阻害
T-1228

- 過敏症のため開発中止
評価方法
hERG:Whole cell patchclamp法によりhERG電流阻害率を評価し、IC50濃度を算出
iPS心筋:MEAにより細胞外電位を測定し、FPDcFの変化率を評価し、10%延長濃度を算出
事例紹介 心血管系リスク評価
結果
hERG阻害活性

両化合物共に100 μMまでhERG channelを阻害しないため、リスクなしと判定
iPS心筋細胞 MEA評価 (3.2 - 100 μM)
[典型画像]
ACHN-975
![[典型画像] ACHN-975](../../../../../jp/custom_service/images/95184_img34.png)
T-1228
[FPDcF10%延長濃度]
| FPDcF+10%Conc. (μM) | |
|---|---|
| ACHN-975 | 3.8 |
| T-1228 | > 100 |
ACHN-975
FPDcFの延長 (>10%) が認められたため、リスクありと判定
100 μMでは全例拍動停止 (NaV阻害に起因すると推察) 。
T-1228
FPDcFの延長は認められないため、リスクなしと判定
臨床で心血管リスクにより開発中止された
hERG (-) 化合物をリスクありと評価可能
iCell® 心筋細胞を用いた別途評価・サービス
ポスター情報
| 日付 | 学会名 | ポスター名 | |
|---|---|---|---|
![]() |
2026/2/26~2/27 | 第17回日本安全性薬理研究会学術年会 | Comparison of Predictive Performance for Drug Induced Proarrhythmia Using hiPSC Cardiomyocytes, hERG Inhibition, and Action Potential Duration Simulations |
![]() |
2025/7/2~7/4 | 第52回日本毒性学会学術年会 | 多点電極アレイを用いたヒトiPS細胞由来心筋細胞に対する化合物の長時間曝露の心毒性評価 |
![]() |
2025/2/20~2/21 | 第16回安全性薬理学会 | Development of A Simultaneous Multimodal Recording Method ofExtracellular Field Potentials and Images to Comprehensively Understand Cellular Responses |
![]() |
2025/2/20 ~2/21 | 第16回安全性薬理学会 | ヒト iPSC 由来心筋細胞を用いた電気生理と変力作用評価による創薬初期段階における化合物の心血管系への影響の包括的評価 |
![]() |
2024/9/22~9/25 | SPS2024 | Comprehensive Suite of Assays for Assessment of Cardiotoxicity Using Human iPSC-derived Cardiomyocytes |
![]() |
2024/7/3~7/5 | 第51回日本毒性学会学術年会 | 多点電極アレイを用いたヒトiPS細胞由来心筋細胞のインピーダンス測定による心収縮機能評価系の開発 |
お見積り・ご注文について
ご依頼方法
検体情報等は見積もり依頼書へご記入ください。その他追加のご質問等ございましたら、下記のお見積り・ご注文フォームにご記入の上ご連絡ください。
依頼書
- 掲載内容は本記事掲載時点の情報です。仕様変更などにより製品内容と実際のイメージが異なる場合があります。
- 掲載されている製品について
- 【試薬】
- 試験・研究の目的のみに使用されるものであり、「医薬品」、「食品」、「家庭用品」などとしては使用できません。
- 試験研究用以外にご使用された場合、いかなる保証も致しかねます。試験研究用以外の用途や原料にご使用希望の場合、弊社営業部門にお問合せください。
- 【医薬品原料】
- 製造専用医薬品及び医薬品添加物などを医薬品等の製造原料として製造業者向けに販売しています。製造専用医薬品(製品名に製造専用の表示があるもの)のご購入には、確認書が必要です。
- 表示している希望納入価格は「本体価格のみ」で消費税等は含まれておりません。
- 表示している希望納入価格は本記事掲載時点の価格です。








