ACROBiosystems 社 リコンビナントタンパク質

ACROBiosystems社は、ISO 9001:2015 および ISO 13485:2016 認証に準拠した厳格な品質管理システムの下、天然構造の高品質なリコンビナントタンパク質製品を提供しています。
品質管理システム
- ISO 9001:2015 および ISO 13485:2016 に準拠
- アニマルフリーに対応
- 認定されたサプライヤーから原料を購入
- ISO 5 準拠のクリーンルームと自動充填装置
- 品質関連書類は自社の品質保証部門が確認し承認
- 完全なバッチ生産と記録管理
- 機器のメンテナンスと校正
- 分析手順の検証
- 安定性試験の実施

製品特長
-
高い技術力
-
- 天然構造を確保するため、95%以上のリコンビナントタンパク質を HEK293 で産生
- 複数回膜貫通型タンパク質、次世代蛍光部位特異的標識、酵素研究のための技術基盤を保有
- 用途要件に応じたカスタム対応
-
高品質
-
- 厳格な品質管理と生産工程管理
- 認証された分析法を採用
- ISO9001 および ISO13485 認証取得
-
サービス
-
- 受注後 1~5日で出荷
- バッチ選択可能
品質管理例
安定性試験
加速、凍結融解、リアルタイム、輸送シミュレーションの4つの点で安定性を確認しています。
加速試験

Human IL-7 Protein, premium grade (メーカーコード:IL7-H4219) が37℃で48時間安定であることをセルベースアッセイで確認。
凍結融解安定性 (耐凍結融解性)

Human IL-7 Protein, premium grade (メーカーコード:IL7-H4219) が凍結融解を3回繰り返しても安定であることをセルベースアッセイで確認。
リアルタイム安定性試験

Monoclonal Anti-Human CD3 Antibody, Mouse IgG2a (Clone: OKT3), premium grade (HEK) が4℃で1年間安定であることをセルベースアッセイで確認。
輸送シミュレーション試験

Human IL-15 Proteinが37℃で14日間安定であることをセルベースアッセイで確認。
定量試験
タンパク質製品ごとに個別の定量基準と標準バッチを設定しています。各バッチ定量時には UV法 や BCA法 等さまざまな定量法を行うことで、同一製品の異なるバッチ間での定量の一貫性を確保し、バッチ間差を最小限にしています。異なるオペレーターが異なる日に同じ方法で定量試験を行った際の CV% は 3% 未満であり、回収率は 90% から 108% の範囲であったことが示され、定量精度が確保されていることを確認しています。
分析手順のトレーサビリティデータ

定性試験
SDS-PAGE、SEC-HPLC、SEC-MALS、DLS等、さまざまな方法を用いて、製品の純度と均一性を確認しています。
SDS-PAGE

ActiveMax® Human VEGF165, Tag Free (MALS verified) の還元(R)、非還元(NR) SDS-PAGE。ゲルはCoomassie Blueで一晩染色。タンパク質の純度は98%を超える。
SDS-PAGE

Human IL-7 の還元SDS-PAGE (R) 。ゲルはCoomassie Blueで一晩染色。タンパク質の純度は95%を超える。
生理活性試験
ELISA、SPR、フローサイトメトリー、セルベースアッセイなど、用途に応じた生理活性試験を行っています。
ELISA

2 μg/mL (100 μL/well) で固定化したHuman IL-17 RE (155-454) Protein, Fc Tag (メーカーコード:ILE-H5256) は、Biotinylated Mouse IL-17C Protein, His, Avitag™ (MALS verified) (メーカーコード:ILC-M82E9) と0.2~20 ng/mLの直線範囲で結合することを確認。(品質管理試験)
FACS

Biotinylated Human SIRP alpha / CD172a Protein, Fc, Avitag™ (MALS verified) (メーカーコード:CDA-H82F2) がJurkat細胞で発現したCD47に濃度3 μg/mLで結合することをFACSで確認。(品質管理試験)
セルベースアッセイ

Human IL-7 Protein, premium grade (メーカーコード:IL7-H4219) は、PHA-P-activated human peripheral blood mononuclear cell (PBMC) の増殖を刺激することを確認。
EC50:1.565 ng/mL (品質管理試験)
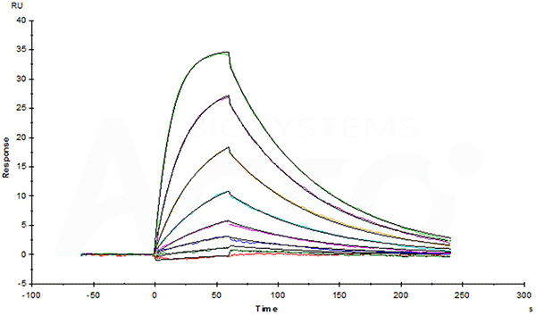
SPR

CM5 chipに抗-His 抗体を介して捕捉したHuman IL-2 R beta / CD122 Protein, His Tag (SPR verified) (メーカーコード:CD2-H5221) が、Human IL-15 Protein (E. coli), premium grade (メーカーコード: IL5-H4117) と親和定数 21.7 nMで結合することをSPR(Biacore T200)で確認。(定期試験)
バッチ試験
製品の品質とバッチ間の一貫性を確保するため、標準バッチを設定しています。新しいバッチは、対応する標準バッチと比較され、同等の品質レベルのバッチのみが承認されて出荷されるシステムを導入しています。

3つの異なるバッチのBiotinylated Human TNF-alpha Protein, His,Avitag™, active trimer (MALS verified) (メーカーコード:TNA-H82E3) について、固定化した Adalimumab (5 ug/mL) を直接ELISA法で検出。バッチ間差は無視できる範囲であることを確認。

Human TNF-alpha Protein, premium grade (メーカーコード:TNA-H4211) は、代謝阻害剤であるactinomycin Dの存在下でWEH1-13VAR細胞に細胞毒性効果を誘導した。
ED50:0.007~0.014 ng/mL
バッチ間差は無視できる範囲であることを確認。
製品ラインアップ
Recombinant Target Proteins
項目をクリックするとメーカーサイトに遷移します。
注意:メーカーサイトの内容は変更になる可能性があります。
Immune Checkpoints
Autoimmune Disease Targets
Metabolic Disease Targets
Cytokine Targets
Enzymes
Fc Receptor Proteins
Proteins for Neuroscience
Cell Therapy Targets
ADC Target Proteins
FLAG
Tumor Microenvironment Proteins
Other Proteins
- 掲載内容は本記事掲載時点の情報です。仕様変更などにより製品内容と実際のイメージが異なる場合があります。
- 掲載されている製品について
- 【試薬】
- 試験・研究の目的のみに使用されるものであり、「医薬品」、「食品」、「家庭用品」などとしては使用できません。
- 試験研究用以外にご使用された場合、いかなる保証も致しかねます。試験研究用以外の用途や原料にご使用希望の場合、弊社営業部門にお問合せください。
- 【医薬品原料】
- 製造専用医薬品及び医薬品添加物などを医薬品等の製造原料として製造業者向けに販売しています。製造専用医薬品(製品名に製造専用の表示があるもの)のご購入には、確認書が必要です。
- 表示している希望納入価格は「本体価格のみ」で消費税等は含まれておりません。
- 表示している希望納入価格は本記事掲載時点の価格です。