ペプチド研究所
NAC Trisulfide (NAC-S1)/ NAC Tetrasulfide (NAC-S2)/ Glutathione Trisulfide (GSSSG)

硫黄原子が直鎖状に連結(カテネーション)した「超硫黄分子」は、生体内で抗酸化作用をはじめとする多彩な生体制御機構に関与していることが明らかにされています。特にアミノ酸・システインのチオール基に硫黄原子が直鎖状に結合したシステインパースルフィドは、生体内で合成され、非常に強力な抗酸化作用を発揮することが知られています。1)
ペプチド研究所では、酸化型システインポリスルフィド誘導体:NAC Trisulfide (NAC-S1)、NAC Tetrasulfide (NAC-S2)、Glutathione Trisulfide(GSSSG)を提供しています。超硫黄分子研究にぜひご活用ください。
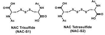
NAC Trisulfide (NAC-S1)、NAC-Tetrasulfide (NAC-S2)
NAC Trisulfide と NAC-Tetrasulfide は、強力なパー/ポリスルフィド供与体として機能します。培養細胞や動物モデルに投与することで、細胞内のグルタチオン (GSH) に硫黄原子を移動させ、GSSH、GSSSH、GSSSGといった多種多様なポリスルフィド類を生成します。これらのポリスルフィド類は、生体内で、抗酸化作用や抗炎症作用を発揮します。 2)

Glutathione Trisulfide (GSSSG)

Glutathione Trisulfide (GSSSG)は、ヒトや動物細胞に内因的に含まれるポリスルフィドです。ミュラー細胞やグリア細胞へ投与することで、LPS刺激による炎症性サイトカインの mRNA やタンパク質発現レベルの上昇を抑制します。3)
参考文献
- Ida, T. et al.: Proc Natl Acad Sci U S A., 111, 7606 (2014).
Akaike, T. et al.:Nat Commun., 8, 1177 (2017). - Zhang, T. et al.:Cell Chem Biol., 26, 686 (2019).
- Tawarayama, H. et al.:Ocul Immunol Inflamm., 30, 789 (2022).
Tawarayama, H. et al.:Sci Rep., 13, 11513 (2023).
製品一覧
- 項目をすべて開く
- 項目をすべて閉じる
- 掲載内容は本記事掲載時点の情報です。仕様変更などにより製品内容と実際のイメージが異なる場合があります。
- 掲載されている製品について
- 【試薬】
- 試験・研究の目的のみに使用されるものであり、「医薬品」、「食品」、「家庭用品」などとしては使用できません。
- 試験研究用以外にご使用された場合、いかなる保証も致しかねます。試験研究用以外の用途や原料にご使用希望の場合、弊社営業部門にお問合せください。
- 【医薬品原料】
- 製造専用医薬品及び医薬品添加物などを医薬品等の製造原料として製造業者向けに販売しています。製造専用医薬品(製品名に製造専用の表示があるもの)のご購入には、確認書が必要です。
- 表示している希望納入価格は「本体価格のみ」で消費税等は含まれておりません。
- 表示している希望納入価格は本記事掲載時点の価格です。