住友ベークライト EZGlyco® mAb-N Kit with APTS

EZGlyco® mAb-N Kit with APTSはキャピラリ電気泳動 (CE) に対応した抗体糖鎖サンプル調製キットです。
本キットでは、精製抗体もしくは未精製抗体 (抗体産生 細胞の培養上清など) からスタートし、抗体の捕捉精製・糖鎖遊離・蛍光標識までを1チューブで行うことができ、迅速かつ簡便にCE 分析用糖鎖サンプルの調製が可能です。

特長
● 抗体精製⼯程を含め、約 4 時間で糖鎖サンプル調製が完了
- 従来は2 日以上かかっていた作業が大幅に短縮
● 汎用のCE 用蛍光標識を採用
- CE 糖鎖分析に広く用いられている.APTS ラベル化に対応
- ラベル化⼯程では⾮毒性の還元剤を使用
● 必要な試薬類をキットに同梱
- 糖鎖遊離酵素(PNGase.F)、ラベル化試薬など必要な試薬を同梱
キット内容
- 抗体捕捉カラム
- 洗浄溶液
- PNGase F 促進溶液
- 還元剤(非毒物)
- 操作プロトコル
- 捕捉溶液
- PNGase F 溶液
- APTS
- 過剰試薬除去カラム
想定用途
創薬研究・バイオ研究における糖鎖のハイスループット分析
- CE によるハイスループット糖鎖解析をサポート
- 製造プロセス開発など多数のサンプルの糖鎖解析が必要な局面でお役立ち
- DNAシーケンサー (キャピラリ電気泳動型) を用いた糖鎖分析
分析条件例
【CE装置】
P/ACE MDQ Plus (AB Sciex)
【分析条件】
キャピラリー: N-CHO キャピラリー (AB Sciex, 477601)
バッファー : N-Linked Carbohydrate Separation Gel Buffer
(AB Sciex, 477623)
分析シーケンス:右 表に示す
蛍光検出:励起波長 488 nm、蛍光波長 520 nm
データ例
1)培養上清中のヒトIgGの糖鎖分析
ヒトIgG (40 μg) を HEK293 細胞の培養上清 (120 μL) にスパイクした溶液を EZGlyco® mAb-N Kit with APTS を用いて処理し、APTSラベル化N型糖鎖サンプルを調製した。コントロールとして精製IgGを同様に処理した。
表面記載の条件でCE分析を行った。

培養上清中にスパイクしたIgGと精製IgGで同様のピークパターンが得られ、本キットが精製抗体/培養上清のいずれにも適用可能であることが示された。
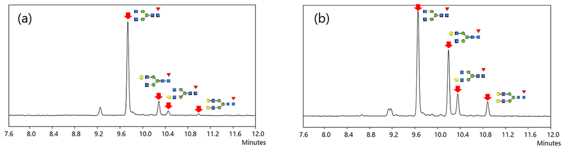
2)抗体薬物複合体(ADC)の抗体糖鎖分析
(a) Trastuzumab deruxtecan および (b) Trastuzumab emtansine (各40 μg, いずれも市販品) をEZGlyco® mAb-N Kit with APTS を用いて処理し、 N型糖鎖サンプルを調製、表面記載の条件でCE分析を行った。

EZGlyco® mAb-N Kit with APTS が抗体薬物複合体のN型糖鎖CE分析に適用可能であることが示された。
製品一覧
- 項目をすべて開く
- 項目をすべて閉じる
- 掲載内容は本記事掲載時点の情報です。仕様変更などにより製品内容と実際のイメージが異なる場合があります。
- 掲載されている製品について
- 【試薬】
- 試験・研究の目的のみに使用されるものであり、「医薬品」、「食品」、「家庭用品」などとしては使用できません。
- 試験研究用以外にご使用された場合、いかなる保証も致しかねます。試験研究用以外の用途や原料にご使用希望の場合、弊社営業部門にお問合せください。
- 【医薬品原料】
- 製造専用医薬品及び医薬品添加物などを医薬品等の製造原料として製造業者向けに販売しています。製造専用医薬品(製品名に製造専用の表示があるもの)のご購入には、確認書が必要です。
- 表示している希望納入価格は「本体価格のみ」で消費税等は含まれておりません。
- 表示している希望納入価格は本記事掲載時点の価格です。