It has been added to the cart.

It has been added to the comparison table.

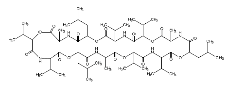
Cereulide Standard Solution (50μg/mL Methanol Solution)

for Food Analysis
Manufacturer :
FUJIFILM Wako Pure Chemical Corporation
Storage Condition :
Keep at -20 degrees C.
CAS RN® :
157232-64-9
Molecular Formula :
C57H96N6O18
Molecular Weight :
1153.40
  • Structural Formula
  • Label
  • Packing
SDS
Comparison
Product Number
Package Size
Price
Inventory
Distributor
037-23453
Barcode No
4548995027849
500uL x5A
Inquire

In stock in Japan

Distributor
031-23451
Barcode No
4548995027856
500uL
Inquire

In stock in Japan

Document

SDS ...all
Product Specification Sheet
Package Insert
Spectral Data
Certificate of Analysis
Calibration Certificate
Analytical Charts

Overview

Cereulide is an emetic toxin produced by Bacillus cereus. Cereulide is stable in the presence of heat, acids, alkalis, and digestive enzymes. Cereulide is actively studied and analyzed as a toxin that causes food poisoning.

Property

Cereulide Standard Solution (50μg/ml Methanol Solution)

CAS RN® :157232-64-9

C57H96N6O18=1153.40

* The product is a synthetic product.
* HPLC chromatogram for each lot is attached to the product.

01812750_img01R.png

Overview / Applications

Precautions for Use Packed on argon gas

Property

Appearance Colorless clear liquid
Concentration 49.2 - 50.8ug/mL

Manufacturer Information

Alias

For research use or further manufacturing use only. Not for use in diagnostic procedures.

Product content may differ from the actual image due to minor specification changes etc.

If the revision of product standards and packaging standards has been made, there is a case where the actual product specifications and images are different.

+49-2131-311-271

Reception hours: Mon-Fri 9:00 - 15:00 (CET)For other hours than the above, please contact us via the inquiry form.